我公司出售高质量的氨基酸液、氨基酸原粉、氨基酸微量元素、eddha铁、螯合铁等并支持肥料产品的定制,欢迎来电,免费索取样品!

  • 公司地址
    中国,四川,成都
  • 联系电话
    18681783931

保护氨基酸环评(L-草铵膦:植保行业产品升级的明星产品)

L-草铵膦以其高活性、低污染等优点,远期有望逐步实现对普通外消旋草铵膦的替代,目前仅利尔、永农等少数企业在国内进行原药登记。我们对L-草铵膦主要技术路线、行业供需进行了跟踪分析,建议关注L-草铵膦行业发展,以及对现有草铵膦行业格局影响。

摘要

L-草铵膦技术壁垒高,目前仅少数企业实现产业化。L-草铵膦合成方法主要有三种,即不对称合成法,拆分法和转化法。目前不对称合成暂未量产;拆分法成本不具备优势;转化法是当前主要突破方向,该工艺以外消旋草铵膦为原料,将无效组分D-草铵膦转化为L-草铵膦,巴斯夫已通过收购获得该技术路线。

十年十倍(2011-2020),草铵膦需求增速有望维持高位。草铵膦产量从2011年的3200吨提升至2020年的3.5万吨,据此我们估算需求用量增长实现十年十倍。考虑到含抗草铵膦性状种子推广、百草枯持续退出及与草甘膦部分场景,我们判断草铵膦需求有望维持10%以上增长(每年约5000吨需求增量)。需要强调的是,相较于外消旋草铵膦,L-草铵膦性价比更高(1.2-1.3倍成本,2倍理论药效),我们判断L-草铵膦将逐步提高市占率。

当前全球草铵膦产能约4.6万吨,其中国内目前形成了双寡头格局。由于草铵膦的高成长性,草铵膦行业潜在进入者众多根据环评计算规划产能达到9.65万吨,参考过去数年的行业发展,草铵膦由于相对较高的技术壁垒,实际扩产情况存在较大不确定性。L-草铵膦方面,龙头公司均有相关规划,有望借此进一步强化竞争优势。

风险

全球作物种植面积下降,草铵膦需求下滑,草铵膦价格下跌。

正文

L-草铵膦:商业化应用脚步临近

2020年,永农生物科学,日本明治制果,利尔化学相继在国内获得L-草铵膦原药登记,标志着L-草铵膦商业化应用脚步逐步临近。我们认为L-草铵膦具有高活性,低污染等优点,有望实现对普通外消旋草铵膦的替代,在未来几年成为草铵膦市场的主流产品。

L-草铵膦简介

草铵膦(Glufosinate)由赫斯特(现属拜尔)首次合成,于20世纪90年代实现大规模商业化。2017年拜尔为回应政府对收购孟山都交易的反垄断审查,将Liberty除草剂(草铵膦)及LibertyLink品牌下的种子业务出售给巴斯夫1[1]。Liberty除草剂目前已成为巴斯夫农化业务的关键组成部分。

草铵膦含有一个手性中心,具有L型和D型两种光学异构体,但只有L-草铵膦具有除草活性。目前上市的草铵膦除草剂主要为D:L=1:1的外消旋产品,若草铵膦产品中只含有L-构型的光学异构体,理论上单亩草铵膦使用量可以降低50%,这对于降低使用农药成本,减轻环境压力均有十分重要的意义。L-草铵膦因此成为了草铵膦行业重要的发展趋势之一。

图表:草铵膦具有两种异构体

L-草铵膦:植保行业产品升级的明星产品

资料来源:Wiley,中金公司研究部

L-草铵膦合成方法分析:转化法或为未来主流

根据Web of Science数据库,目前已报道的L-草铵膦合成方法主要有三种,即不对称合成法,拆分法和转化法,由于转化法可以和现有的外消旋草铵膦产能相结合,仅需对老产线进行改建增加转化装置便可将老产线原有的外消旋D,L-草铵膦原药直接转化为高纯度L-草铵膦。因此我们认为转化法有较大可能取得成本优势,或成为未来的主流技术路线。

1. 不对称合成:不对称合成法可分为化学不对称合成和生物不对称合成。

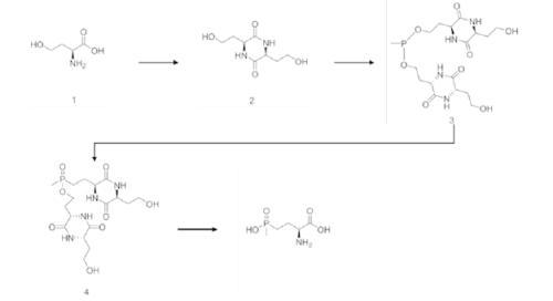
a)化学不对称合成:该法使用手性原料,手性助剂或者手性催化剂实现手性产物合成,该方法已经广泛应用于化学制药领域。采用化学不对称合成方法合成的L-草铵膦产业化难度相对较低,但反应步骤长,反应条件苛刻,成本较高。目前已有较多公司拥有不对称合成法合成L-草铵膦的技术储备,例如利尔化学已公示了采用手性原料L-高丝氨酸为前体合成L-草铵膦的专利。我们认为未来几年陆续将有采用不对称合成法的L-草铵膦产能落地。

图表:利尔化学申请的化学不对称合成L-草铵膦方法专利

L-草铵膦:植保行业产品升级的明星产品

资料来源:专利号CN111662324A“一种制备L-草铵膦的方法”,中金公司研究部

b) 生物不对称合成:该法主要使用氨基酸脱氢酶,转氨酶等制备L-草铵膦,但由于生物不对称合成反应大多为可逆反应,因此存在酶利用效率低,L-草铵膦收率低等问题,不适合工业化生产。

2. 拆分法:拆分法使用手性试剂拆分化学法合成的外消旋草铵膦,从而制得光学纯的草铵膦。早在1998年赫斯特公司就报道了使用奎宁作为化学拆分剂处理外消旋草铵膦,后续经过分离即可得到高纯度L-草铵膦。但该方法存在需要手性拆分试剂,D-草铵膦需要消旋再利用,需要多次拆分等缺点,并不适合工业化生产。

3. 转化法:转化法借助酶或者手性辅基,将外消旋草铵膦中的D-草铵膦通过两步反应转化为L-草铵膦。即首先将D-草铵膦氧化为2-羰基-4-(羟基甲基膦酰基)丁酸(PPO),再将PPO通过转氨或者氧化的反应转化为L-草铵膦。转化法具有反应条件温和,立体选择性高,收率高等优点,是实现L-草铵膦工业化合成的重要发展趋势。巴斯夫收购的Glu-L除草剂技术就采用了酶催化转化技术将D-草铵膦转化为L-草铵膦,我们认为巴斯夫后续也将继续推进该法的产业化。此外,利尔也已经成熟掌握该工艺,并且已经实现工业化生产。

图表:转化法生产草铵膦反应示意图

L-草铵膦:植保行业产品升级的明星产品

资料来源:Wiley,中金公司研究部

L-草铵膦市场展望

草铵膦行情复盘:需求快速增长,价格跌宕起伏,市场价值已超10亿美元

过去10年,草铵膦产销保持快速增长,全球产量从2011年的约3,200吨提升至2020年的3.5万吨,CAGR达到 30.5%,已从相对小众的果蔬用除草剂成长为大宗除草剂单品之一。根据Phillips McDougall统计,过去10年草铵膦市场价值也稳步提升,其中2020年,草铵膦市场价值达10.5亿美元,2011-2020年CAGR达到13.2%。

图表:草铵膦原药全球销售额

L-草铵膦:植保行业产品升级的明星产品

资料来源:Phillips McDougall,中金公司研究部

图表:草铵膦原药全球产量

L-草铵膦:植保行业产品升级的明星产品

资料来源:Phillips McDougall,中金公司研究部

虽然草铵膦需求保持了持续增长,市场价值稳步提升。但其价格走势可谓跌宕起伏。究其原因,我们认为仍是供需关系的波动。2010-2014年受全球经济复苏,抗草铵膦作物上市等利好影响,草铵膦原药价格一路上行,最高价格超过30万元/吨。自2014年百草枯禁用政策颁布后,市场普遍认为草铵膦将有效承接百草枯退出后的除草剂新增需求。辉丰,红太阳,七洲绿色化工等纷纷上马新草铵膦项目,2015-2016年草铵膦产能明显增加,草铵膦价格大幅下降。进入2017年,草铵膦在环保趋严,百草枯禁用范围扩大带动需求增长等利好催化下,价格再度回暖。但2018年下半年中美贸易摩擦持续升级,气候原因导致种植需求推迟等因素影响,全球需求走弱。加之利尔化学及巴斯夫等主要供应商的新产能大量释放,行业明显供过于求,价格加速下滑,2019年草铵膦原药价格最低达到了9.95万元/吨。2019年末,受主要供应商利尔化学广安基地并线改造及中间体厂商洪湖一泰停产检修影响,供应收紧,草铵膦价格有所回暖。进入2020年,由于新冠疫情较为严重的湖北是国内草铵膦主要的中间体供应基地,疫情导致的供应不足使得草铵膦供需关系再度紧张,价格持续上扬。2021年,受益下游需求旺盛和替代品草甘膦价格持续上调,草铵膦报价也一路上升,截至7月9日,草铵膦价格已上涨至22.5万元/吨,创2016年来新高。考虑到目前草铵膦厂商库存仍处低位,我们预计草铵膦价格仍有上调空间。

图表:草铵膦原药全球产能

L-草铵膦:植保行业产品升级的明星产品

资料来源:Phillips McDougall,中金公司研究部

图表:草铵膦原药年度均价

L-草铵膦:植保行业产品升级的明星产品

资料来源:万得资讯,中金公司研究部

图表:草铵膦周度均价

L-草铵膦:植保行业产品升级的明星产品

资料来源:卓创资讯,中金公司研究部 *统计时间截至2021.07.09

图表:草铵膦原药厂商库存情况

L-草铵膦:植保行业产品升级的明星产品

需求端:转基因和百草枯替代仍是草铵膦中长期成长主要逻辑

从下游分作物需求数据来看,目前草铵膦的应用集中在油菜,大豆和果蔬等领域,据Phillips McDougall统计,2018年油菜对草铵膦需求达到2,752吨,大豆达到2,279吨,果蔬达到3,211吨,三者合计占2018年全年总需求的60%。从地域分布来了,中国(果蔬,水稻等),美国(转基因作物),加拿大(转基因作物)占据了2020年全球总需求的52%。展望未来,随着巴斯夫,拜尔等农化巨头推出具有草铵膦,麦草畏等新抗性的经济作物种子,我们认为草铵膦需求有望得到较为显著驱动。近年来全球四大农化巨头新推出的转基因大豆种子均新增草铵膦抗性,若这些种子在美国及巴西等地顺利推广,将有效带动草铵膦需求增长。

图表:2018年草铵膦分作物需求结构

L-草铵膦:植保行业产品升级的明星产品

资料来源:Phillips McDougall,中金公司研究部

图表:2020年草铵膦分地域需求结构

L-草铵膦:植保行业产品升级的明星产品

资料来源:Phillips McDougall,中金公司研究部

图表:农化巨头主要经济作物种子均有抗草铵膦性状

L-草铵膦:植保行业产品升级的明星产品

资料来源:各公司官网,中金公司研究部

除含草铵膦抗性的转基因种子推动的转基因需求外,百草枯在海外的逐步禁用也是草铵膦需求增长的重要驱动力。据中农纵横统计,2018年全球百草枯用量仍有8万吨左右,假设其中40%左右的百草枯退出需求由草铵膦承接,我们预计有望新增草铵膦原药需求约2万吨/年。

竞品草甘膦价格大幅上涨助推草铵膦性价比显现:截至2021年7月9日,中国草甘膦价格已涨至50,000元/吨,突破2013年来最高点。由于药效关系,目前草甘膦单次单亩使用量约为草铵膦2-3倍,加之考虑到草甘膦抗性农户会使用2-3次保证除草效果,我们预计草甘膦/草铵膦比价在0.2以上时,草铵膦性价比即开始显现。截至2021年7月8日,草甘膦/草铵膦比价已经升至0.22。由于受环保政策影响,未来草甘膦产能再度大幅扩张可能性较小,加之目前草甘膦企业开工率已接近90%,草甘膦新增供应或有限,我们预计未来草甘膦价格或继续维持高位震荡。因此我们认为草铵膦需求或因其相对草甘膦的性价比优势得到进一步刺激。

图表:甘氨酸法草甘膦的价格与价差

L-草铵膦:植保行业产品升级的明星产品

资料来源:卓创资讯,中金公司研究部 *统计时间截至2021.07.09

图表:中国草甘膦企业开工率

L-草铵膦:植保行业产品升级的明星产品

资料来源:卓创资讯,中金公司研究部 *统计时间截至2021.07.09

图表:草甘膦/草铵膦相对性价比变动

L-草铵膦:植保行业产品升级的明星产品

资料来源:卓创资讯,中金公司研究部

除此之外,我们预计草铵膦复配制剂使用量提升,草甘膦抗性杂草大量出现等因素也将推动草铵膦用量的稳步增长。总体来看,安徽中农纵横预测全球远期草铵膦原药需求有望达到10万吨/年(折L-草铵膦5万吨/年)。

供给端:外消旋草铵膦产能2022年起大规模释放,L-草铵膦或提供差异化优势

截至2020年末,全球草铵膦产能约4.75万吨,主要生产装置分布于中国,印度,德国及美国,其中中国草铵膦产能约占全球的60%,占据绝对产能优势。从产能利用率上看,受疫情影响,永农生物和UPL的产能利用率相对较低,其余企业开工率则维持相对较高水平。

图表:2020年末全球草铵膦有效产能产量统计

L-草铵膦:植保行业产品升级的明星产品

资料来源:中农纵横,中金公司研究部

从后续扩产情况来看,在草铵膦长期需求向好及短期价格维持强势的预期下,除巴斯夫公告将于2022年部分退出草铵膦原药生产外,大量农化企业纷纷上马草铵膦扩产计划,成为行业新进入者。据我们统计,目前国内已环评公示的外消旋草铵膦产能已经达到了9.65万吨。总体来看,若这些已宣布的扩产计划均顺利落地,未来几年新增供给或大幅超过稳定增长的需求。但我们认为,本次扩产中大量企业过去并没有草铵膦生产经验,它们的在建产能是否能实现持续稳定的供应仍难以确定,实际扩产进度仍需持续跟踪。

图表:截至2020年末外消旋草铵膦扩产计划统计

L-草铵膦:植保行业产品升级的明星产品

资料来源:各公司公告,中金公司研究部

最坏情况下,若这些新进入者的草铵膦产能均可稳定生产供应,外消旋草铵膦行业或面临激烈竞争。在此时,我们认为具有L-草铵膦产能技术储备的企业仍能取得差异化的竞争优势。根据调研情况,我们估算目前L-草铵膦的实际生产成本约为外消旋草铵膦的1.2-1.3倍,由于其理论药效为外消旋草铵膦的2倍,因此L-草铵膦生产商在保证盈利情况下仍具有较大的价格调整空间保证L-草铵膦对于外消旋草铵膦的相对性价比,从而实现对外消旋草铵膦市场的快速抢占。

目前国内已公示L-草铵膦扩产环评公告书的仅利尔化学,山东亿盛,永农生物及七洲绿色化工,均为行业内老牌草铵膦生产企业,若未来L-草铵膦合成技术未发生大规模扩散,我们认为后续L-草铵膦行业或将维持相对有序的竞争格局。

图表:截至2020年末中国L-草铵膦扩产计划统计

L-草铵膦:植保行业产品升级的明星产品

资料来源:各公司公告,中金公司研究部

本文源自金融界网

蜀ICP备15013208号-3