我公司出售高质量的氨基酸液、氨基酸原粉、氨基酸微量元素、eddha铁、螯合铁等并支持肥料产品的定制,欢迎来电,免费索取样品!

  • 公司地址
    中国,四川,成都
  • 联系电话
    18681783931

氨基酸构成图示解析(河南名校省实验中学2021-2022学年高三上学期期中生物试题答案)

氨基酸构成图示解析

2021年河南生物实验题目

河南名校!省实验中学2021-2022学年高三上学期期中生物试题

一、单选题

1.下列关于真核细胞和原核细胞的叙述,正确的是 ( )

A.两者都能发生基因突变和染色体变异,为生物进化提供原材料

B.分解尿素的细菌分泌脲酶过程与该菌的核糖体、内质网、高尔基体、线粒体有关

C.两者都含有DNA和RNA,都能进行DNA的复制、转录、翻译等活动

D.两者的细胞膜都含有磷脂和蛋白质,且磷脂的含量决定了膜功能的复杂性

2.下列有关结构与功能相统一的观点不正确的是( )

A.叶绿体内类囊体膜堆叠使膜面积增大,有利于充分利用光能

B.神经细胞轴突末梢有大量突起,有利于接受更多的神经递质

C.某些低等植物细胞中心体的存在,有利于其有丝分裂的正常进行

D.线粒体内膜向内突起形成嵴,有利于有氧呼吸快速进行

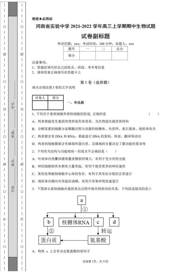
3.下图表示真核细胞内基因表达过程中相关物质之间的关系。下列叙述错误的是()

河南名校!省实验中学2021-2022学年高三上学期期中生物试题答案

A.物质 a 上含有决定氨基酸的密码子

B.组成物质 a、b、c、d 的基本单位共有 8 种

C.过程①的产物中有些具有生物催化作用

D.过程②的场所是核糖体,该过程中有水生成

4.对植物根尖细胞中某细胞器的组成成分进行分析,发现A、T、C、G、U五种碱基的相对含量分别约为25%、10%、30%、20%、15%,则下列叙述正确的是

A.该细胞器无膜 B.该细胞器能固定CO2

C.该细胞器能产生水 D.该细胞器不能进行能量转换

5.如图表示一个由200个氨基酸构成的蛋白质分子其中“—S—S—”是将2条肽链连接起来的二硫键(由2个SH形成,即—SH+—SH→—S—S—+2H)。下列叙述正确的是( )

河南名校!省实验中学2021-2022学年高三上学期期中生物试题答案

A.该蛋白质分子中含有198个肽键

B.该蛋白质分子中至少含有6个游离的氨基

C.参与构成该蛋白质分子的氨基酸中有200个羧基

D.合成该蛋白质分子的过程中,相对分子质量减少了3564

6.肾小管上皮细胞基底外侧膜上的Na+-K+泵通过消耗ATP建立胞内的低Na+电化学梯度,细胞顶部膜借助Na+电化学梯度,通过膜上的Na+/K+/Cl-共转运体从肾小管腔中同时重吸收Na+,K+和Cl-,细胞内液的Cl-浓度增加后,Cl-顺浓度梯度运出细胞到组织液。下列相关分析正确的是( )

A.肾小管上皮细胞运出Na+的方式属于被动运输

B.肾小管上皮细胞对Na+,K+的运输不具有特异性

C.Na+/K+/Cl-共转运体转运离子的过程会消耗ATP

D.若组织液中Cl-含量过多,则可能导致抗利尿激素分泌增加

7.通道蛋白是一类跨越细胞膜的蛋白质,能使适宜大小的分子及带电荷的分子通过扩散作用,从细胞膜一侧转运到另一侧。下列有关通道蛋白的说法,正确的是 ( )

A.通道蛋白的合成及分泌不需要核糖体、内质网和高尔基体的参与

B.大小相同的分子通过通道蛋白进出细胞时的速率相同

C.通道蛋白介导的水分子的协助扩散速率比自由扩散快

D.Na+借助通道蛋白进入神经细胞的动力是胞内渗透压

8.下面有关酶和ATP的叙述,正确的是

A.剧烈运动比安静时,ATP消耗速率加快,生成CO2的场所有细胞质基质和线粒体

B.叶绿体和线粒体中[H]被消耗的过程中都会伴随ATP含量的增加

C.测定胃蛋白酶的活性时,将pH由10下降至2的过程中,该酶活性一直不变

D.植物的根细胞吸收钾离子的过程中,ATP中三个高能磷酸键中的能量都会释放出来

9.下列关于细胞代谢的叙述中,正确的是

A.在剧烈运动过程中,肌细胞释放CO2量/吸收O2量的比值将增大

B.酶和激素均可以在细胞内外发挥作用,而ATP只能在细胞内发挥作用

C.如果细胞呼吸的底物是葡萄糖,则消耗的O2体积与释放的CO2体积相等

D.叶肉细胞在一定强度的光照下,可能既不吸收气体也不释放气体

10.在光照恒定、温度最适条件下,某研究小组用图1的实验装置测量一小时内密闭容器中CO2的变化量,绘成曲线如图2所示。下列叙述正确的是( )

河南名校!省实验中学2021-2022学年高三上学期期中生物试题答案

A.a~b段,叶绿体中ATP从基质向类囊体膜运输

B.该绿色植物前30分钟真正光合速率平均为64 ppm CO2/min

C.适当提高温度进行实验,该植物光合作用的光饱和点将不变

D.若第10min时突然黑暗,叶绿体基质中C3的含量在短时间内将下降

11.下列有关人类对遗传物质探索过程及结论的说法,正确的是 ( )

A.肺炎双球菌的体内转化实验证明DNA是遗传物质,蛋白质等不是遗传物质

B.T2噬菌体病毒颗粒内可以合成mRNA和蛋白质

C.用32P标记的噬菌体侵染无放射性大肠杆菌,释放的子代噬菌体全部有放射性

D.使用烟草花叶病毒不同物质感染烟草,证明了RNA是遗传物质,蛋白质不是遗传物质

12.下图为真核细胞内某DNA片段(15N标记)结构示意图,共1000对脱氧核苷酸组成,其中碱基A占20%。下列说法正确的是( )

河南名校!省实验中学2021-2022学年高三上学期期中生物试题答案

A.该DNA片段第三次复制,需要游离的鸟嘌呤脱氧核苷酸2800个

B.该DNA片段的一条核苷酸链中

为3∶2

C.解旋酶作用于①部位,DNA聚合酶用于催化②部位的化学键构成

D.将该DNA片段置于14N培养液中复制3次后,含14N的DNA分子占四分之三

13.下列有关染色体、DNA、基因、脱氧核苷酸的说法,正确的是 ()

A.一个基因含有许多个脱氧核苷酸,基因的特异性是由脱氧核苷酸的比例决定的

B.基因是具有遗传效应的DNA片段,不是4种碱基对的随机排列

C.在DNA分子结构中,脱氧核苷酸的排列构成了DNA分子的基本骨架

D.染色体是DNA的主要载体,一条染色体上只含有1个DNA分子

14.酵母菌细胞中一个基因发生突变后,使mRNA中段增加了连续的三个碱基AAG(终止密码子有UGA、UAG、UAA)。据此推测,下列叙述正确的是( )

A.突变后的基因在复制时参与复制的嘧啶脱氧核苷酸的比例减小

B.突变后的基因编码的多肽链最多只有两个氨基酸与原多肽链不同

C.突变后的基因表达时可能会在mRNA上增加AAG的位置停止翻译

D.突变后的基因表达时与密码子UAA对应的tRNA无法携带氨基酸,故而终止翻译

15.如图表示人体内某些信息传递机制的模式图,箭头表示信息传递的方向,下列有关叙述中,不正确的是

河南名校!省实验中学2021-2022学年高三上学期期中生物试题答案

A.如果该图表示二次免疫反应,若c为抗体,则a可表示记忆细胞

B.若a表示下丘脑,b表示垂体,则c可以表示腺体甲状腺

C.若a表示下丘脑,b表示垂体,c为肾小管和集合管,则d和e为同一物质

D.若该图表示细胞中遗传信息的传递方向,则过程e发生于细胞核中

16.牵牛花的颜色可随液泡中的酸碱度不同而发生变化,如液泡中的花青素(水溶性)在碱性时显蓝色,中性时显紫色,酸性时显红色,生理机制如下,则下列说法中正确的是(  )

河南名校!省实验中学2021-2022学年高三上学期期中生物试题答案

A.可以通过用无水乙醇提取花青素,体外模拟不同pH环境,验证花色变化的机理

B.图中a、b的过程是同时进行的,也能够发生在原核细胞中

C.牵牛花在清晨时开蓝花,中午转为紫色,下午则可能为红花

D.蛋白R是一种载体蛋白,说明基因通过控制蛋白质的结构直接控制生物性状

17.以下有关基因重组的叙述,错误的是

A.非同源染色体的自由组合能导致基因重组

B.同源染色体非姐妹染色单体的交换可引起基因重组

C.基因型为Aa的个体自交,后代发生性状分离属于基因重组

D.同胞兄妹间的遗传差异与父母基因重组有关

18.关于实验①观察植物细胞的有丝分裂 ②低温诱导植物染色体数目变化 ③观察DNA、RNA在细胞中的分布,相关叙述错误的是 ( )

A.3个实验都可以用洋葱做实验材料

B.3个实验都需盐酸,作用为溶解细胞间物质,将细胞分散开,便于显微镜下观察

C.实验①和②中都能观察到正常染色体数目的细胞和染色体数目发生变化的细胞

D.实验①可根据视野中各时期细胞的数量,推算细胞周期中各时期所占的比例

19.将全部DNA分子双链经32P标记的某雄性动物的1个细胞(正常体细胞染色体数2n=20)置于不含32P的培养基中培养,经过连续两次细胞分裂后产生4个子细胞。下列有关推断正确的是( )

A.若进行有丝分裂,第二次有丝分裂后期,1个细胞中被32P标记的染色体为40条

B.若进行减数分裂,减数分裂Ⅱ后期,1个细胞中被32P标记的染色体为40条

C.若进行有丝分裂,则4个子细胞中含32P染色体的子细胞比例一定为1/2

D.若进行减数分裂,则4个子细胞中含32P染色体的子细胞比例一定为1

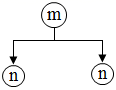
20.如图所示表示某细胞经过一次正常的细胞分裂形成两个子细胞的情况,m、n代表每个细胞中的染色体组数。下列相关说法正确的是( )

河南名校!省实验中学2021-2022学年高三上学期期中生物试题答案

A.图示过程发生前一定进行了DNA分子的复制和有关蛋白质的合成

B.图示过程发生时一定伴随着丝点的分裂、姐妹染色单体分离

C.若m等于n,则该过程中一定会发生同源染色体的分离

D.若m不等于n,则子细胞中染色体数目一定会减半

21.下列有关育种和进化的说法,错误的是(  )

A.秋水仙素在单倍体育种和多倍体育种过程中的作用相同

B.转基因技术可以实现基因在不同种生物之间的转移

C.基因频率是指某个基因占种群中全部基因数的比率

D.二倍体西瓜和四倍体西瓜之间存在生殖隔离

22.下列关于细胞内外K+、Na+和C1-的叙述,错误的是

A.神经细胞静息电位形成的主要原因是K+外流

B.人体血浆中K+进入红细胞内的过程属于被动运输

C.兴奋沿神经纤维传导时细胞膜外Na+大量内流

D.Na+和C1-是形成哺乳动物血浆渗透压的主要物质

23.人体内的细胞外液构成了细胞生活的液体环境,即内环境,只有这个环境保持相对稳定,细胞才能进行正常的生命活动。下列相关叙述中,不正确的是 ( )

A.神经递质和激素均是在内环境中起作用的

B.人体内的细胞通过细胞外液与外界环境交换物质

C.血浆中的蛋白质大量减少会引起组织水肿

D.组织液渗回血浆和渗入淋巴的量相差较大

24.下图为人体某器官中血液的流动情况示意图,①②表示物质,①促进或抑制②的产生,②产生后将释放到血液中。下列说法错误的是 ( )

河南名校!省实验中学2021-2022学年高三上学期期中生物试题答案

A.若该器官为肝脏,①可表示胰高血糖素,②可表示肝糖原分解产生的葡萄糖

B.若该器官为下丘脑,则①可能是甲状腺激素,②可表示TRH

C.若该器官为胰腺,则①可能是高浓度的血糖,②可能是胰岛素

D.若该器官为性腺,则①可能是促性腺激素释放激素,②可表示性激素

25.过敏原可激发体液免疫产生IgE抗体,当过敏原再次入侵机体时,肥大细胞可产生组织胺,使血管壁通透性增大,引起过敏症状。下列说法错误的是(  )

河南名校!省实验中学2021-2022学年高三上学期期中生物试题答案

A.过敏原诱发人体产生抗体的过程属于体液免疫

B.组织胺使组织液渗透压降低从而引起组织水肿

C.肥大细胞的细胞膜上有特异性结合IgE的受体

D.二次过敏原与肥大细胞表面的IgE抗体结合

26.某小组进行生长素促进扦插枝条生根的实验,结果如下表(由于标签弄混,浓度a、b、c大小未知)。下列叙述错误的是 ( )

组别

清水

浓度a

浓度b

浓度c

平均生根数

7

15

35

29

A.由表中数据可得出生长素的作用不具有两重性

B.实验中用于扦插的枝条可能带有芽或幼叶

C.浓度a、浓度b、浓度c的大小关系为c<b<a

D.生长素进入到植物体后,对代谢起调节作用进而影响生根

27.种子萌发的过程中,在赤霉素的诱导下,胚乳的糊粉层中会大量合成α-淀粉酶,此过程会受到脱落酸的抑制。下列相关叙述正确的是(  )

A.在种子萌发的过程中这两种激素是拮抗关系

B.赤霉素与脱落酸作用机理相同,可以互相代替

C.赤霉素能够直接催化胚乳中淀粉的水解

D.在保存种子的过程中应尽量降低脱落酸含量

28.从种群和群落水平角度,下列叙述正确的是( )

A.高大的乔木在森林中均匀分布属于种群的空间特征

B.稻田中的水稻植株高矮不同,体现了群落的分层现象

C.树上不同高度的喜鹊巢不能反映动物群落具有垂直结构

D.草原群落只具有垂直结构,不具有水平结构

29.下列有关生态系统的结构和功能的说法错误的是 ( )

A.生产者除绿色植物外,还包括黑藻、蓝藻、硝化细菌等原核生物

B.在任何生态系统中都存在着捕食食物链

C.消费者和分解者都是异养生物,但它们获取营养的方式有区别

D.非生物的物质和能量为生物的生存提供了必备条件

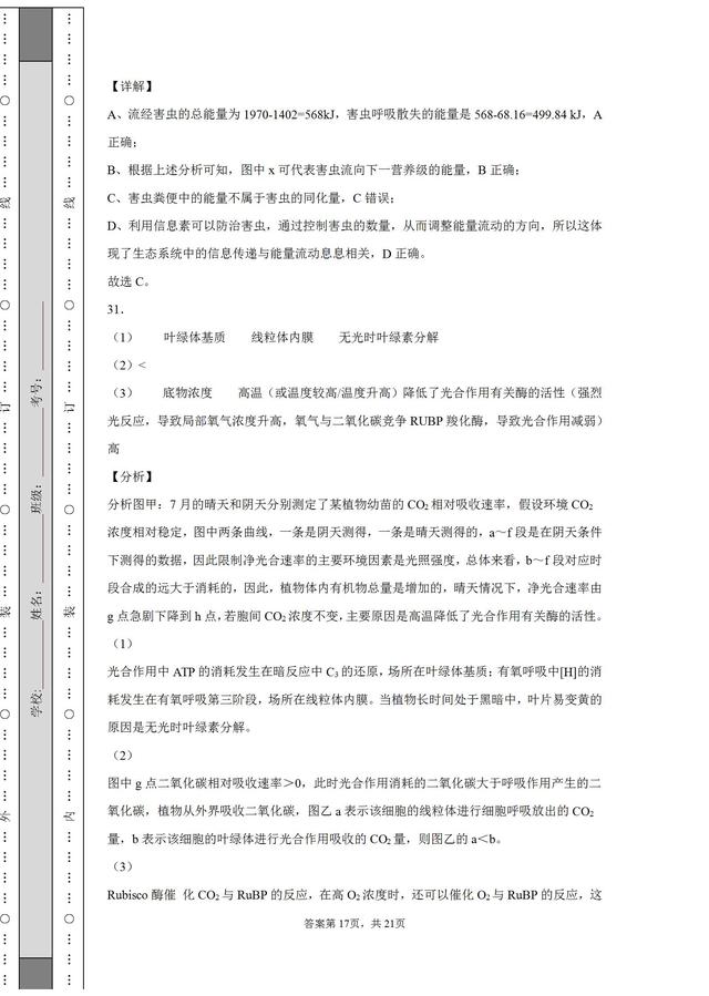
30.某人工生态果园中害虫的能量流动情况如图所示,据图判断,下列说法错误的是( )

河南名校!省实验中学2021-2022学年高三上学期期中生物试题答案

A.流经害虫的总能量为568 kJ,害虫呼吸散失的能量是499.84 kJ

B.图中x可代表害虫流向下一营养级的能量

C.果园中以粪便为食的蜣螂获得的害虫体内的能量为1402 kJ

D.利用信息素可以防治害虫,这体现了生态系统中的信息传递与能量流动息息相关

二、综合题

31.科研人员在7月的晴天和阴天分别测定了某植物幼苗的CO2相对吸收速率,结果如图甲所示(假设环境CO2浓度相对稳定)。图乙表示该幼苗处于光照下的一个叶肉细胞,a表示该细胞的线粒体进行细胞呼吸放出的CO2量,b表示该细胞的叶绿体进行光合作用吸收的CO2量。分析回答下列问题:

河南名校!省实验中学2021-2022学年高三上学期期中生物试题答案

(1)光合作用中ATP的消耗有氧呼吸中[H]的消耗分别发生在____________和_________(填具体场所),当植物长时间处于黑暗中,叶片易变黄的原因是_______________

(2)若幼苗所有进行光合作用的细胞的光合强度一致,当幼苗处于图甲中g点时,图乙中a____b(填>、=、<)。

(3)Rubisco酶催化CO2与RuBP的反应,在高O2浓度时还可以催化O2与RuBP的反应,这说明__________可以影响酶促反应。若晴天组幼苗在12︰00~12︰30的胞间CO2浓度与10︰00~10︰30相同,则可以推断g~h段晴天幼苗CO2相对吸收速率急剧下降的可能原因是_______________与b点相比,c点幼苗叶绿体内RuBP含量_____(高/低)。

32.对某二倍体(2N=4)动物精巢和卵巢中处于不同分裂时期的细胞进行研究。图1是基因型为AaBb的精原细胞经分裂后产生的某时期细胞的示意图。图2表示精巢中某些细胞的核DNA分子数、染色体数和染色单体数的统计结果。

河南名校!省实验中学2021-2022学年高三上学期期中生物试题答案

(1)图1细胞对应于图2中的________时期;与图1细胞同时产生的另一个细胞的基因组成可能是________。

(2)图2各细胞中同源染色体对数最多的是________时期(用图中序号表示);用图2中各时期的序号与“→”表示减数分裂过程________。请从配子形成和受精作用两方面,简要说明遗传多样性的原因:________。

(3)细胞松弛素B能阻滞细胞分裂而导致染色体数加倍,与正常配子结合可用于培育三倍体。现有三组实验,用细胞松弛素B分别阻滞卵母细胞的减数第一次分裂(甲组)、减数第二次分裂(乙组)和受精卵的第一次卵裂(丙组)。请预测三倍体出现率最低的是________,理由是________。

33.如图代表不同细胞间的信息传递,1~8代表靶细胞的细胞结构,请根据图回答下列问题:

河南名校!省实验中学2021-2022学年高三上学期期中生物试题答案

(1)图中的神经末梢和靶细胞C等共同构成_____,若物质a是唾液淀粉酶,其合成、分泌过程依次经过的细胞器是_____(填图中序号)。

(2)若刺激M点,则M点膜外电位变化是_____,由此刺激引发的神经兴奋的传导方向与_____(填“膜内”或“膜外”)的局部电流方向一致;若刺激N点,电流表将偏转_____次。

(3)当兴奋抵达时,贮存在_____内的神经递质释放出来,并与分布在突触后膜上的结构1_____结合。突触间隙的神经递质可通过主动运输进入细胞再被利用。上述过程体现了细胞膜具有的功能是_____和_____。

(4)下列各项生命活动中,与细胞膜上的1无关的是_____

A.K+进入小肠上皮细胞B.神经递质作用于突触后膜

C.抗原致敏B淋巴细胞D.HIV侵染辅助性T淋巴细胞。

34.生态平衡是一种动态平衡,包括结构和功能上的稳定。如图中“置位点”为生态系统所具有的某个理想状态,其中P、A、B、C、D、E表示其生物成分,箭头表示物质的传递方向。请分析回答:

河南名校!省实验中学2021-2022学年高三上学期期中生物试题答案

(1)P、A、B、C、D构成了生态系统的营养结构,这是实现生态系统___________等功能的主渠道。

(2)若B中的能量不变,将D的食物比例由B:C=1:1调整为2:1,能量传递效率按10%计算,该生态系统传递给D的能量是原来的_________倍。假设A摄入的能量为a,其粪便中的能量为b,通过呼吸作用消耗的能量为c,用于生长、发育和繁殖的能量为d,则由A流入B的能量最多为__________。

(3)图中碳元素在B、E间以___________形式传递。虽然氮元素也是不断循环的,但农田生态系统中仍需不断施加氮肥,主要原因是________________________________。

(4)某研究小组考察了一个位于置位点的湖泊中处于食物链最高营养级的某鱼种群的年龄组成,结果如表所示:

年龄

0+

1+

2+

3+

4+

5+

6+

个体数

92

187

121

70

69

62

63

年龄

7+

8+

9+

10+

11+

≥12

个体数

72

64

55

42

39

264

注:表中“1+”表示鱼的年龄大于等于1,小于2,其他以此类推。

研究表明:该鱼在3+时达到性成熟(进入成年),9+时丧失繁殖能力(进入老年),根据表中数据推测该鱼种群数量变化趋势是_________;如果引入该湖泊本没有的鲶鱼并大量繁殖后,导致原鱼种减少,从而改变了此湖泊群落演替的方向和速度,此演替类型属于_________。

以上是文字图片展示,下面是试卷完整版清晰图片,含有参考答案,可以用A4纸直接打印。

河南名校!省实验中学2021-2022学年高三上学期期中生物试题答案

河南名校!省实验中学2021-2022学年高三上学期期中生物试题答案

河南名校!省实验中学2021-2022学年高三上学期期中生物试题答案

河南名校!省实验中学2021-2022学年高三上学期期中生物试题答案

河南名校!省实验中学2021-2022学年高三上学期期中生物试题答案

河南名校!省实验中学2021-2022学年高三上学期期中生物试题答案

河南名校!省实验中学2021-2022学年高三上学期期中生物试题答案

河南名校!省实验中学2021-2022学年高三上学期期中生物试题答案

河南名校!省实验中学2021-2022学年高三上学期期中生物试题答案

河南名校!省实验中学2021-2022学年高三上学期期中生物试题答案

河南名校!省实验中学2021-2022学年高三上学期期中生物试题答案

河南名校!省实验中学2021-2022学年高三上学期期中生物试题答案

河南名校!省实验中学2021-2022学年高三上学期期中生物试题答案

河南名校!省实验中学2021-2022学年高三上学期期中生物试题答案

河南名校!省实验中学2021-2022学年高三上学期期中生物试题答案

河南名校!省实验中学2021-2022学年高三上学期期中生物试题答案

河南名校!省实验中学2021-2022学年高三上学期期中生物试题答案

河南名校!省实验中学2021-2022学年高三上学期期中生物试题答案

河南名校!省实验中学2021-2022学年高三上学期期中生物试题答案

河南名校!省实验中学2021-2022学年高三上学期期中生物试题答案

河南名校!省实验中学2021-2022学年高三上学期期中生物试题答案

河南名校!省实验中学2021-2022学年高三上学期期中生物试题答案

河南名校!省实验中学2021-2022学年高三上学期期中生物试题答案

河南名校!省实验中学2021-2022学年高三上学期期中生物试题答案

河南名校!省实验中学2021-2022学年高三上学期期中生物试题答案

河南名校!省实验中学2021-2022学年高三上学期期中生物试题答案

河南名校!省实验中学2021-2022学年高三上学期期中生物试题答案

河南名校!省实验中学2021-2022学年高三上学期期中生物试题答案

河南名校!省实验中学2021-2022学年高三上学期期中生物试题答案

河南名校!省实验中学2021-2022学年高三上学期期中生物试题答案

河南名校!省实验中学2021-2022学年高三上学期期中生物试题答案

河南名校!省实验中学2021-2022学年高三上学期期中生物试题答案

这不仅仅是一份考试卷,也是一份很好的复习资料,期望能帮助高三同学高考取得良好的成绩。#2022育见美好#

河南名校!省实验中学2021-2022学年高三上学期期中生物试题答案,2021年河南生物实验题目

蜀ICP备15013208号-3