我公司出售高质量的氨基酸液、氨基酸原粉、氨基酸微量元素、eddha铁、螯合铁等并支持肥料产品的定制,欢迎来电,免费索取样品!

  • 公司地址
    中国,四川,成都
  • 联系电话
    18681783931

氨基酸可以扩散吗(氨基酸衍生物代谢(三))

氨基酸可以扩散吗

氨基酸衍生物的合成

组氨酸脱羧酶(HDC)可催化组氨酸脱羧生成组胺。合成和释放组胺的主要细胞是免疫系统的肥大细胞和嗜碱性粒细胞,胃肠系统的肠嗜铬样细胞和神经元。其中免疫细胞合成的组胺占总量的90%以上。

氨基酸衍生物代谢(三)

组胺的合成。引自themedicalbiochemistrypage

人体有四种组胺受体(H1R-H4R),均属于GPCR。H1R在多种组织表达,如血管和气管平滑肌细胞、内皮细胞、免疫细胞和神经细胞等。H1R激活磷脂酶C并升高钙离子浓度,促进前列腺素I2合成,增加血管通透性。

H2R主要在免疫细胞和胃壁细胞表达,可促进胃酸分泌。H3R主要分布在中枢神经系统,可减少乙酰胆碱、5-羟色胺和去甲肾上腺素的产生和释放。H4R主要在胃肠道和免疫细胞。

氨基酸衍生物代谢(三)

组胺受体功能。引自Front Immunol. 2018; 9: 1873.

组胺是大脑感觉神经递质,调节多种生理功能,如睡眠-觉醒周期、压力反应、食欲和记忆等。人脑中组胺能神经元约有6万多个,位于下丘脑的结节乳头核中,并将其轴突投射到大脑的各个区域,包括大脑皮层,下丘脑,基底神经节和杏仁核。

氨基酸衍生物代谢(三)

少突胶质前体细胞中的H3R信号途径。引自PLoS One. 2017; 12(12): e0189380.

灭活组胺的酶有两种:二胺氧化酶(DAO)和组胺N-甲基转移酶(HNMT)。DAO(EC 1.4.3.22)也称为组胺酶,可以氧化脱氨多种胺类,包括组胺,腐胺,亚精胺等,主要在外周组织中起作用。HNMT(EC 2.1.1.8)主要分布在中枢神经系统。

释放到细胞外的神经递质会被邻近神经元或星形胶质细胞吸收,以免神经元过度活化。人类星形胶质细胞主要通过质膜单胺转运蛋白(PMAT)和有机阳离子转运蛋白3(OCT3)转运组胺。被转运到胞质的组胺由HNMT催化,利用SAM将组胺甲基化,然后从尿液排出。

氨基酸衍生物代谢(三)

神经系统中的组胺代谢。引自Int J Mol Sci. 2019 Feb; 20(3): 737.

谷胱甘肽是细胞内含量最高的还原剂,因为含有一个巯基而缩写为GSH。两个GSH以二硫键相连,就形成氧化型谷胱甘肽(GSSG)。谷胱甘肽还原酶(GR)可以利用NADPH将GSSG还原回GSH。GSH具有抗氧化、解毒、氨基酸转运等重要功能。

谷胱甘肽含有非标准肽键,所以其合成与分解过程较为独特。谷氨酸-半胱氨酸连接酶(glutamate-cysteine ligase, GCL)催化谷氨酸的侧链羧基与半胱氨酸的氨基相连,形成γ-谷氨酰半胱氨酸(γ-GC)。这是谷胱甘肽合成的限速步骤,所以GCL也是开发谷胱甘肽合成抑制剂的主要靶标。

第二步由GSH合酶(GSS)催化,将甘氨酸连接到γ-GC上。这两步反应各消耗一分子ATP。

氨基酸衍生物代谢(三)

谷胱甘肽的结构与合成。引自themedicalbiochemistrypage

谷胱甘肽的γ-酰胺键不能被正常肽酶降解,所以只能通过膜结合的γ-谷氨酰转移酶(GGT)在细胞外代谢。GGT催化γ-谷氨酰胺键的ATP依赖性裂解,并将谷氨酰基转移到某一个氨基酸上,生成γ-谷氨酰氨基酸。后者进入细胞后水解,谷氨酸部分以5-氧代脯氨酸的形式释放,需要再消耗一个ATP才能转化为谷氨酸。GGT生成的Cys-Gly则被细胞外二肽酶水解,然后各自进入细胞。

这个反应既用于降解,也用于氨基酸转运,称为γ-谷氨酰循环(γ-glutamyl cycle)。这种转运方式属于基团转运,虽然耗能高达4个ATP,但速度快,容量高。该循环主要在肾脏,特别是肾上皮细胞中起作用。

氨基酸衍生物代谢(三)

γ-谷氨酰循环。引自Food Chem Toxicol. 2013 Oct; 60: 38–44.

谷胱甘肽最重要的功能还是抗氧化,特别是对红细胞和线粒体。红细胞因为需要运输氧,所以是高度氧化环境,容易形成过氧化物。谷胱甘肽过氧化物酶(GPx)利用GSH还原过氧化物,生成GSSG,再由GR催化GSH再生,维持氧化-还原平衡。所以合成NADPH的磷酸戊糖途径对红细胞十分重要,高达10%的葡萄糖被用于此途径的消耗。

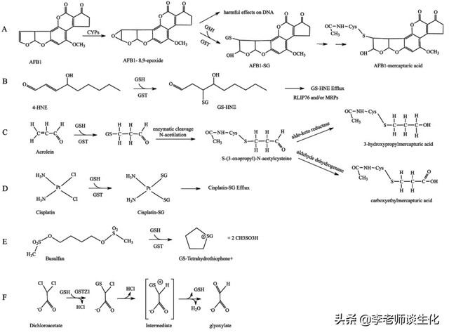
谷胱甘肽还参与有毒物质的生物转化过程,起到与葡萄糖醛酸类似的解毒作用,参见《糖醛酸途径与肝脏代谢》。谷胱甘肽S-转移酶(glutathione S-transferase,GST)催化谷胱甘肽与一些带有巯基、双键、卤素等基团的化合物反应,促进其排出。

氨基酸衍生物代谢(三)

谷胱甘肽的解毒作用。引自Oncogenesis. 2018 Jan; 7(1): 8.

黄曲霉毒素B1(AFB1)、4-羟基壬醛(4-HNE)、丙烯醛(acrolein)等毒物和medicine均可被GST催化解毒。当然medicine被解毒的问题是可能降低效果,这就需要有针对性的措施,比如开发相应的GST抑制剂等。

氨基酸衍生物代谢(三)

GST对一些化合物的解毒作用。引自Oncogenesis. 2018 Jan; 7(1): 8.

血红素(heme)也是氨基酸的衍生物。虽然分子较大,但它是由四个吡咯衍生物连接在一起构成的,合成原料是甘氨酸和琥珀酰辅酶A。

人体中存在三种不同的血红素,分别称为血红素a、b、c。血红蛋白中的是血红素b,呼吸链中的细胞色素C含有血红素C,细胞色素A含有血红素A。这里介绍的是血红素b的合成。

氨基酸衍生物代谢(三)

人体中的三种血红素。引自themedicalbiochemistrypage

血红素b是由卟啉(porphyrin)与亚铁离子络合生成的,所以首先要合成卟啉。此过程的第一步是在线粒体,由甘氨酸和琥珀酰辅酶A缩合,生成5-氨基乙酰丙氨酸(ALA)。ALA合成酶(ALAS)是此途径的限速酶,受血红素反馈抑制。

ALA从线粒体进入细胞质,2个分子缩合成一个胆色素原,由ALA脱水酶催化。4分子胆色素原首尾相连,形成线性四吡咯,再环化,改变侧链和饱和度,生成粪卟啉原III后再回到线粒体,生成原卟啉IX,与Fe2+螯合,生成血红素。

氨基酸衍生物代谢(三)

血红素合成途径。引自themedicalbiochemistrypage

最后一步由铁螯合酶(FECH)催化。重金属可以抑制铁螯合酶,导致原卟啉与锌结合,生成锌原卟啉,使血液能发出荧光。血中锌原卟啉含量可作为铅中毒和铁缺乏的指标。

血红素合成和降解的中间产物有些是有色的,有些则无色。这些物质的命名有个规律,无色的化合物英文名都以-gen结尾,中文译为某某原,如胆色素原(phorphobilinogen);有色的则称某某素,英文均以-in结尾,如胆红素(bilirubin)。

卟啉合成中某些酶的缺陷会导致中间物积累,称为卟啉症。卟啉症的常见症状包括贫血导致的面色苍白,卟啉中间物沉积造成的牙齿变红、皮肤对日光过敏,以及神经系统异常,如癫痫等。这就是吸血鬼传说的原型。因为血红素可以被肠道吸收,所以吸血对卟啉症的确是有效的。另外,某些卟啉症会导致毛发过度生长,称为“狼人综合症”。

氨基酸衍生物代谢(三)

卟啉症导致的牙齿荧光。引自Blood. 2012 Nov 29; 120(23): 4496–4504.

人体红细胞的寿命约为120天,所以每天约更新6克血红蛋白。其中的血红素需要分解排出,铁则尽量回收利用。血红素单加氧酶使血红素断裂,形成线性的胆绿素,放出CO。这是人体内源性CO的唯一来源,通过肺排出。胆绿素被还原生成胆红素,这是青肿伤痕变色的原因。胆红素在肝脏与2个葡萄糖醛酸结合,增加溶解度,从胆汁进入肠道排出。

氨基酸衍生物代谢(三),氨基酸衍生物的合成

蜀ICP备15013208号-3