我公司出售高质量的氨基酸液、氨基酸原粉、氨基酸微量元素、eddha铁、螯合铁等并支持肥料产品的定制,欢迎来电,免费索取样品!

  • 公司地址
    中国,四川,成都
  • 联系电话
    18681783931

氨基酸的电离形式(面向大规模、低成本储能的N-烷基羧酸化蒽醌衍生物水系液流电池)

氨基酸的电离形式

面向大规模、低成本储能的N-烷基羧酸化蒽醌衍生物水系液流电池

面向大规模、低成本储能的N-烷基羧酸化蒽醌衍生物水系液流电池

【研究背景】

相比于电解液成本较为昂贵的全钒氧化还原液流电池(VRFB),价格低廉的水系有机氧化还原液流电池(AORFB)越来越受研究人员的关注。其中,苯醌、萘醌和蒽醌衍生物由于来源丰富,在碱性液流电池中得到了广泛的研究。然而,具有电化学活性的有机分子在水溶液中经常存在溶解度低、化学稳定性差等问题,可能会导致电池的能量密度较低、循环衰减较快。因此,通过设计新型的具有氧化还原活性的有机分子,来提升活性物质的水溶性,化学稳定性和氧化还原可逆性,是设计长循环寿命的水系有机液流电池的关键问题。

【工作介绍】

近日,南京大学金钟团队与中国科学院大连化学物理研究所的李先锋、张华民研究员合作,通过低成本、简便的两步合成路线合成了N-烷基羧酸化的氨基蒽醌衍生物(DAEAQ),并将其作为负极材料与亚铁氰化钾正极配对,组装成碱性水系液流电池。文章采用成本低廉、高磺化度的自制sPEEK膜作为离子交换膜,组装的电池在pH≥12时提供1.12V的开路电压,最大功率密度可以达到0.34 W cm-2,在pH 14下的容量保持率达到99.86%/天,并且100mA/cm2下的平均库伦效率超过99.9%,平均能量效率达到80%,表现出优异的循环稳定性。该文章发表在知名期刊Energy Storage Mater.上。南京大学研究生王财兴、余波为本文的共同第一作者,大化所李先锋、张华民研究员等在离子交换膜的性能优化方面提供了帮助。

【内容表述】

面向大规模、低成本储能的N-烷基羧酸化蒽醌衍生物水系液流电池

羟基蒽醌及其衍生物由于其自身不错的水溶性和氧化还原活性,已在碱性液流电池中得到了广泛的研究。然而氨基蒽醌由于自身极差的水溶性而通常不被考虑,实际上,2,6-二氨基蒽醌的成本(2.09 $ g-1)比2,6-二羟基蒽醌(37.2 $ g-1)低很多,且氨基更强的给电子性使得氨基蒽醌衍生物的电位更负,因此通过合适的官能化修饰来增加氨基蒽醌的水溶性和化学稳定性,所得到的氨基蒽醌衍生物有很大的潜力取代羟基蒽醌及其衍生物,应用于碱性水系有机液流电池中。本文采用低成本、简便的两步合成路线合成了N-烷基羧酸化的氨基蒽醌衍生物(DAEAQ),如图1a所示,修饰的羧酸基团大大增加了氨基蒽醌的水溶性(pH 14下0.99 M,pH 12下0.76 M),并以DAEAQ为负极,亚铁氰化钾为正极组装成电池,模型图如图1b所示,作者使用高度磺化的自制sPEEK膜作为离子交换膜,与传统的Nafion膜相比,sPEEK膜的成本更加低廉,膜阻抗较低,可控性较高。

面向大规模、低成本储能的N-烷基羧酸化蒽醌衍生物水系液流电池

面向大规模、低成本储能的N-烷基羧酸化蒽醌衍生物水系液流电池

图2是DAEAQ在不同pH下的紫外和电化学测试结果。通过紫外滴定和酸碱滴定,作者发现DAEAQ在水溶液中的电离过程类似于氨基酸的电离,如图3所示。循环伏安曲线表明DAEAQ在碱性水溶液中具有良好的氧化还原可逆性(图2c),pH≥ 12时的电位保持不变,说明与亚铁氰化钾组装成电池后的电压平台可达1.12 V(pH≥ 12)。图2d是不同pH值下的Pourbaix图,pH从0到9的斜率为52 mV/pH(双电子双质子过程),从9到12的斜率为28 mV/pH(双电子单质子过程), 说明DAEAQ还原态的两个pka为9.0和12.0。

面向大规模、低成本储能的N-烷基羧酸化蒽醌衍生物水系液流电池

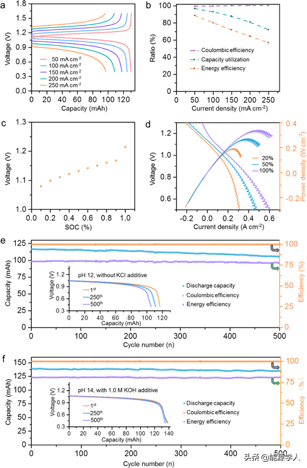
图4是低浓度电池(0.1 M DAEAQ作负极)的电池性能,对照测试了pH 12(加1 M KCl),pH 12(不加KCl)和pH 14(不加KCl)三种条件下的电池性能,发现pH 12(加1 M KCl)的电池能量效率达到79%,但组装的电池衰减速率很快,同时测完的电池能观察到明显的盐析现象,而pH 12(不加1 M KCl)下由于离子浓度较低,能量效率降到72%,但衰减速率明显降低。pH 14(不加1 M KCl)下的电池能量效率达到79%,衰减速率进一步降低,为0.19%/天。以上测试均使用高磺化度的自制sPEEK膜(170μm)作隔膜,核磁和EDX测试表明其磺化度超过80%,高磺化度使其拥有比商业化的E-620(K)膜(也是一种sPEEK膜,磺化度40%,30μm)更低的膜阻抗,足够的厚度也使其比E-620(K)膜有更高的机械强度。鉴于自制隔膜厚度的可调性,作者还使用更薄,阻抗更低的sPEEK膜(110μm)进行测试,pH 14下电池的能量效率高达84%,衰减速率为0.14%/天,表现出优异的循环稳定性。

面向大规模、低成本储能的N-烷基羧酸化蒽醌衍生物水系液流电池

图5是高浓度电池(0.5 M DAEAQ作负极)的电池性能,倍率测试表明250 mA/cm2下仍有72%的容量保持率,100 mA/cm2下能量效率达到80%,SOC曲线表明50% SOC下开路电压为1.12 V,与CV相一致,满充时的功率密度可达0.34 W cm-2。高浓度下pH 14的电池衰减速率明显比pH 12的电池更低,为0.24%/天,这一点与低浓度电池的结果基本一致。此外,通过先恒电流再恒电压充电后进行恒电流放电的电池测试,作者发现过高的SOC会导致分子发生不可逆降解,推测是蒽醌衍生物常发生的由蒽氢醌歧化所引发的二聚,因此避免过充可以有效延长电池的循环寿命。

Caixing Wang, Bo Yu, Yuzhu Liu, Huaizhu Wang, Zewen Zhang, Congxin Xie, Xianfeng Li, Huamin Zhang, Zhong Jin, N-Alkyl-Carboxylate-Functionalized Anthraquinone for Long-Cycling Aqueous Redox Flow Batteries, Energy Storage Mater., 2021, DOI:10.1016/j.ensm.2021.01.019

作者简介

南京大学研究生王财兴、余波为本文的共同第一作者,南京大学金钟教授和大连化物所李先锋研究员为本文的通讯作者。

王财兴博士,于2015年9月至2020年6月在南京大学化学化工学院进行硕博连读,师从金钟教授,主要从事水系有机氧化还原液流电池(AORFB)的研究。

余波,于2018年9月开始在南京大学化学化工学院就读硕士研究生,师从金钟教授,主要从事水系有机氧化还原液流电池(AORFB)的研究。

金钟教授,现为南京大学化学化工学院教授、博士生导师。2003年和2008年分别获得获北京大学学士和博士学位。2008-2014年先后在美国Rice大学和麻省理工学院进行博士后研究。2014年起任教于南京大学,先后入选了国家青年海外高层次人才引进计划、科技部创新人才推进计划、国家优秀青年科学基金、国家“万人计划”科技创新领军人才,担任江苏省化学化工学会青年工作委员会主任委员、江苏省汽车工程学会动力电池专委会委员。主要研究领域是能源化学,包括:清洁能源转换与存储材料的结构设计、物理化学机制研究和器件应用。已在Nature Commun.、JACS、Angew. Chem.、Adv. Mater.等学术期刊发表SCI论文>150篇,他引>9500次,H因子49。主持国家重点研发计划“纳米科技”重点专项青年科学家专题项目、JW科技委GF科技创新特区项目、装备预研教育部联合基金青年人才项目、江苏省杰出青年基金等科研项目。获得了2018年教育部自然科学一等奖、江苏省教育教学与研究成果二等奖、南京市中青年拔尖人才、2017年江苏省首届创新争先奖状、江苏省双创人才、南京大学首届“双创之星”荣誉称号、2016年江苏省“六大人才高峰”高层次人才、入选全国“大众创业万众创新活动周”核心展区等奖励和荣誉。

李先锋研究员, 2006年于吉林大学获得理学博士学位,现任中国科学院大连化学物理研究所所务委员、储能技术研究部部长,中国科学院电化学储能技术工程实验室主任。国家杰出青年科学基金获得者、国家万人计划科技创新领军人才、青年拔尖人才、享受国务院政府特殊津贴。荣获“国家技术发明二等奖”、“中国科学院杰出科技成就奖”等科技奖励。长期从事电化学储能技术的基础研究和产业化开发工作等。获包括“国家技术发明二等奖,中国科学院杰出科技成就奖等科技奖励。个人获 “国际储能与创新联盟青年科学家奖”(ICESI Young Scientist Award)“卢嘉锡优秀导师奖”,“中国科学院卢嘉锡青年人才奖”,“中国科学院优秀导师奖”,“中科院朱李月华优秀教师奖”,“辽宁省青年科技奖”等奖励。为首届中科院青年创新促进会会员,中国膜工业协会电驱动膜专业委员会委员,中国材料研究学会青年工作委员会理事。在Energy Environ. Sci., Angew. Chem. Int. Ed., Nat. Commun., Adv. Mater., Chem. Soc. Rev., Sci. Bull. 等杂志发表SCI论文200余篇,引用8000余次,H因子50。担任Science Bulletin., J. Energy Chem., Sustainable Energy & Fuels (RSC), 储能科学与技术等杂志的编委。

面向大规模、低成本储能的N-烷基羧酸化蒽醌衍生物水系液流电池

蜀ICP备15013208号-3