我公司出售高质量的氨基酸液、氨基酸原粉、氨基酸微量元素、eddha铁、螯合铁等并支持肥料产品的定制,欢迎来电,免费索取样品!

  • 公司地址
    中国,四川,成都
  • 联系电话
    18681783931

氨酰和氨基酸(“万世浮华,万宗归一”之异腈)

本文来自微信公众号:X-MOLNews

今天我们来说说异(yì) 腈(jīng)。放心,不是传说中周文王写的那本。

我们都知道,现代生物体内负责能量转换的小分子是三磷酸腺苷(ATP)。ATP单位能量小、使用方便、循环快,不产生废物,让生命体的能量利用井然有序。生产ATP需要ATP合成酶和线粒体膜两侧极高的氢离子浓度差。但是,在近40亿年前地球的前生物时代,即使存在脂膜两侧的渗透差,在没有ATP合成酶的情况下,合成ATP也是很难想象的。那么,在前生物时代,小分子模块是怎样利用化学能合成复杂的核酸链和多肽链的?

最近,Nature Chemistry 在线发表的英国剑桥分子生物学实验室John Sutherland课题组的研究论文就回答了这一问题。他们的工作表明,甲基异腈(methyl isonitrile, CH3NC)与4,5-二氰基咪唑(DCI)可以活化核苷酸和氨基酸,从而形成寡聚核苷酸、寡肽和磷脂。

“万世浮华,万宗归一”之异腈

John Sutherland博士。图片来源:剑桥分子生物学实验室

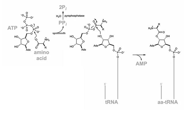
目前,化学家已经报道了核苷、脱氧核苷和氨基酸的前生物合成方法,而且在液相和固相中也可以得到长链的DNA、RNA和短肽。但最终还是要把氨基酸和核酸以共价键相连,即实现中心法则中的最重要的环节——活化氨基酸和核苷酸。现代的生物体中,在氨酰tRNA合成酶的帮助下,氨基酸与ATP首先形成氨酰-5-磷酸腺苷混合酸酐。tRNA 3’末端的腺嘌呤核苷酸的2’ 或3’ 位羟基会很快进攻氨基酸羧基碳,与氨基酸形成酯,即氨酰tRNA(图1)。氨酰tRNA在核糖体rRNA中按照信使RNA的碱基序列信息组装多肽。不过,前生物环境中没有氨酰tRNA合成酶,核苷酸和氨基酸是怎么被活化的呢?Krishnamurthy 等人在2017年报道了利用磷酰二氨(Diamidophosphate, DAP)在糊状体系中活化核苷、氨基酸形成寡聚核苷酸和寡肽的方法(Nat. Chem., 2018, 10, 212),但是该方法不能在溶液环境中同时活化核苷和氨基酸。要知道,核苷合成和遗传信息复制都是液相反应,在这个前提下,人们很难接受二者直接会发生类固相反应的解释。

“万世浮华,万宗归一”之异腈

图1. 氨酰tRNA的形成

回到我们今天故事的主角甲基异腈(1),它常温下是液体,存在于星际空间和地表含铁矿物中,并在紫外辐照下释放。它有确凿的地质来源,在常温和水环境下能利用其化学能活化,而DCI(7)是氰化钾聚合成腺嘌呤反应中的另一主要产物。这样,甲基异腈就有可能整合核酸、氨基酸、磷脂三大类生命物质,为生命的诞生准备物质基础。

“万世浮华,万宗归一”之异腈

图2. 文中提及的活化反应。图片来源:Nat. Chem.

研究者发现甲基异腈可以与3’-磷酸腺苷(3)反应以12%的产率生成环磷酸腺苷(4,图2a),这相当于活化了3’-磷酸。当用乙酰保护的丙氨酸代替醋酸后,发现产物中有丙氨酸与3’-磷酸腺苷2’-羟基的酯化产物(5),这相当于活化了乙酰丙氨酸的羧基,也是氨酰tRNA的雏形。反应中加入DCI可以提高乙酯的产率。值得注意的是,当用甲基异腈与乙酰丙氨酸等量对映体反应时,酯化产物5中L-丙氨酸酯是D构型的四倍,使用光学纯对映体时却同时得到两种构型的酯化产物,说明丙氨酸在活化过程中发生消旋,且L构型更容易形成酯,这可以解释为甲基异腈先与氨基酸生成了恶唑酮中间体8a(图3)。甲基异腈不仅可以活化氨基酸,也可以活化二肽和三肽。当研究者用5’-磷酸腺苷(9)替换3’-磷酸腺苷进行反应时,得到了氨酰tRNA的前体——氨酰-5’-磷酸腺苷混酐(10, 图2b)。如图2c,如果混合使用3’-磷酸腺苷和5’-磷酸腺苷,在甲基异腈和DCI的作用下,不仅得到了2’,3’-环磷酸腺苷(4)、乙酰丙氨酸的酯化产物(5)和混酐(10),还得到了丙甘二肽和相应的酯化产物和混酐,说明活化的氨基酸可以形成结构更复杂的寡肽。

“万世浮华,万宗归一”之异腈

图3. 文中设计的活化网络图。图片来源:Nat. Chem.

随后,本文作者提出了核苷酸和氨基酸的前生物活化路径(图3)。甲基异腈与氨基酸反应得到活性中间体11,与5’-或3’-磷酸腺苷反应得到中间体1213119可以产生5’-磷酸混酐10活化氨基酸形成多肽;113可以经3’-磷酸混酐6得到环磷酸腺4用于核苷酸的聚合成链,6发生分子内转移生成2’-羟基酯化产物5。然而,该方法并不能活化没有保护的氨基酸。在前生物条件下,氨基未保护氨基酸的3’-磷酸腺苷的2’酯化物尚未见报道。目前还不清楚,在最初RNA指导多肽合成的过程中氨基酸是否带有保护基,带有何种保护基,甚至最初合成多肽的模块是否为当今生物体系中所使用的α-氨基酸。

此外,甲基异腈和DCI可以活化甘油-2-磷酸(15)和癸酸,以19%的产率得到单癸酸2-磷酸甘油酯,它是前生物膜的重要组成部分;在模版RNA的帮助下,甲基异腈将两个RNA片段连为一体(图4)。这两个例子显示了甲基异腈和DCI多方面的催化活性。

“万世浮华,万宗归一”之异腈

图4. 甲基异腈依靠模版连接RNA的示意图。图片来源:Nat. Chem.

甲基异腈由氰类无机物生成,结合Sutherland组之前给出的RNA、蛋白质和磷脂共同的硫氰化学生成途径(Nat. Chem., 2015, 7, 301),作者更坚信氰类化合物在前生物化学中扮演着的重要角色。在没有ATP的前生物时代,小分子有机物同样可以利用甲基异腈中碳氮三键蕴藏的化学能,自发、有序、特异地形成单一手性的链状结构,耗散化学能,换取负熵,构建出复杂的生命系统。核酸、氨基酸、脂类三大类物质无不干扰,但又协同作用,演化出色彩斑斓的大千世界。

本工作由英国剑桥分子生物学实验室John Sutherland课题组刘紫微吴龙飞共同完成,其他同事亦有贡献。作者感谢MRC和Simons 基金会的支持。

Harnessing chemical energy for the activation and joining of prebiotic building blocks

Ziwei Liu, Long-Fei Wu, Jianfeng Xu, Claudia Bonfio, David A. Russell, John D. Sutherland

Nat. Chem., 2020, 12, 1023-1028, DOI: 10.1038/s41557-020-00564-3

(本文由萌哥供稿)

蜀ICP备15013208号-3