我公司出售高质量的氨基酸液、氨基酸原粉、氨基酸微量元素、eddha铁、螯合铁等并支持肥料产品的定制,欢迎来电,免费索取样品!

  • 公司地址
    中国,四川,成都
  • 联系电话
    18681783931

氨基酸比值专利(多项授权合作,Synaffix公司ADC专利技术解析)

氨基酸比值专利

多项授权合作,Synaffix公司ADC专利技术解析

Synaffix BV是荷兰一家生物技术公司,专注于开发抗体偶联药物(ADC)技术以成为同类最佳(best-in-class),先后与ADC Therapeutics、Mersana Therapeutics和中国上海美雅珂等多家企业达成多项技术合作协议,将Synaffix的ADC专利技术用于开发抗体偶联药物。

ADC Therapeutics、Mersana Therapeutics在ADC药物领域也颇受瞩目,上海美雅珂的ADC产品也已经处于临床或临床前研究。这些企业中,不乏拥有自己的ADC专利技术,然而,是什么原因促使他们纷纷与Synaffix达成合作,甚至不惜放弃自己的专利技术?让我们从公开的信息、专利和产品中一探究竟。

GlycoConnect?:酶重塑定点偶联

根据公开信息显示,GlycoConnect?作为一种偶联技术,能够利用天然糖基化位点实现定点偶联。Synaffix从2014年开始,逐步有涉及ADC的技术专利公开,并先后获得授权,包括已经进入中国的同组专利CN105142672,在该专利中具体详述了经修饰的抗体、抗体-缀合物及其制备方法。此外,其他同族专利,如CN107108454、CN105829543、CN107810273、CN108883191等也处于审查之中,这些专利都涉及糖蛋白修饰和抗体-缀合物制备,因此,不妨从中窥探GlycoConnect?技术。

首先,对于修饰抗体,Synaffix的专利中披露了一种利用内切糖苷酶对N-乙酰葡糖胺的抗体聚糖进行去糖基化,得到包含N-乙酰葡糖胺取代基的抗体。其中,N-乙酰葡糖胺取代基可以被岩藻糖基化,而N-乙酰葡糖胺取代基通过N-糖苷键键合至抗体天冬酰胺氨基酸侧链中的酰胺氮原子。类似的,形成了Synaffix专利技术平台中描述的“Trim”。

多项授权合作,Synaffix公司ADC专利技术解析

来源:Synaffix网站

正如Synaffix网站对技术的介绍那样,GlycoConnect?采用第一种酶修剪聚糖,第二种酶安装专有的小分子底物,该底物带有在随后偶联过程中发挥作用的功能性手柄。对于第二种酶,就是专利中谈到的β-(1,4)-N-乙酰半乳糖胺转移酶或包含其催化域的突变体。具体来说,就是使包含含有末端N-乙酰葡糖胺(GlcNAc)取代基的抗体与糖衍生物核苷酸Su(A)-Nuc在半乳糖胺转移酶催化下连接。

多项授权合作,Synaffix公司ADC专利技术解析

来源:CN107109454

同样,类似地形成了技术平台中描述的“Tag”。而在早期的专利中,Su(A)-Nuc布局的取代种类有多种形式,包括叠氮基、酮基、炔基、巯基及其前体、卤素、磺酰胺基等。而在专利之外,GlycoConnect?技术在这一位置现在主要采用叠氮基的骨架结构,基于叠氮化物的酶底物保留了通过点击化学偶联的高反应活性和选择性,同时提供了由反应过程中形成的芳香族稳定的三唑连接基,从而改善ADC的安全性和功效。

多项授权合作,Synaffix公司ADC专利技术解析

Su(A)-Nuc取代实例

多项授权合作,Synaffix公司ADC专利技术解析

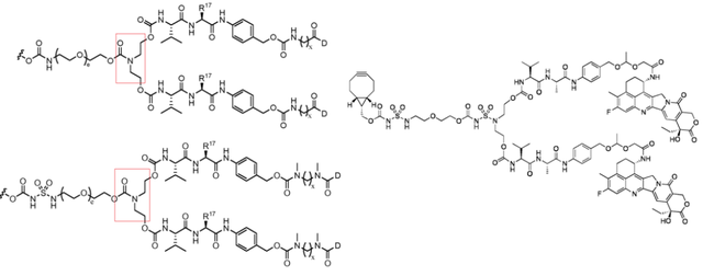
产品演示:ADC therapeutics

可以说,GlycoConnect?作为一种偶联技术,通过两种酶催化实现了天然抗体聚糖的定点偶联,并引入“功能性手柄”。尤其功能性手柄,使DAR1、DAR2或DAR4等不同需求的格式化定制成为可能。

HydraSpace?:载荷增强技术

HydraSpace?是一种具有高极性间隔子的ADC技术,Synaffix认为该技术可以改善ADC稳定性、增加有效载荷溶解度、提高偶联的效率和速度,具备的分支能力可提高药物载量以及实现两种作用机制的ADC药物。

多项授权合作,Synaffix公司ADC专利技术解析

来源:Synaffix官网

其实,Synaffix公司最早的ADC专利技术布局,就是这一领域。2014年,Synaffix公司网站披露,核心专利分别获得美国和欧盟授权,这项专利就是描述了具体与GlycoConnect?技术产生的抗体修饰物结合的化合物和技术。

多项授权合作,Synaffix公司ADC专利技术解析

多项授权合作,Synaffix公司ADC专利技术解析

来源:WO2011136645

环丙烷环辛炔(BCN,上图Ⅱa骨架)可以用来进行非金属催化的点击反应(click reaction),该反应由美国诺贝尔化学奖获得者K. Barry Sharpless提出,具有化学选择性高、产率高、反应速度快等优势。BCN可以与叠氮基团进行环加成反应,这类反应已经成为生物分子(如蛋白质、聚糖等)的生物标记和成像、蛋白质组学等中的通用手段。当然,Synaffix公司的专利布局中也不止BCN一种分子片段,但反应原理是一致的。

多项授权合作,Synaffix公司ADC专利技术解析

来源:CN105142672

概括性来说,GlycoConnect?和HydraSpace?已经组成了ADC药物生产技术基石,Synaffix公司的toxSYN?技术属于毒素/载荷领域内容,各家公司也有不同考量和应用,在此不再展开。综上,利用专利图示可以进一步清晰解释GlycoConnect?和HydraSpace?的技术应用。

多项授权合作,Synaffix公司ADC专利技术解析

来源:WO2017137459

针对特定抗体(如:cAC10、伊妥木单抗),在内切酶的催化下,将经过半乳糖胺转移酶催化生成的分子片段2(GalNAc-T)定点偶联至抗体上,分子片段2可以经过岩藻糖修饰(a=1)。随后,在连接了毒素/载荷的BCN官能团通过非金属催化的点击反应与抗体缀合物中片段分子2的叠氮基团反应,形成一种ADC药物。

对于ADC药物DAR比值的优化,也主要集中在HydraSpace?和Linker上的操作。比如,在专利描述中,通过化学合成手段,可以实现DAR1、DAR2或DAR4的选择;也能够通过选择性化学合成顺序实现不同机制分子与BCN类官能团的连接。

多项授权合作,Synaffix公司ADC专利技术解析

来源:WO2020094670/WO2020245229

在表现形式上,就实现了Synaffix网站的演示结果。

多项授权合作,Synaffix公司ADC专利技术解析

多项授权合作,Synaffix公司ADC专利技术解析

来源:Synaffix官网

在技术应用上,GlycoConnect?和HydraSpace?也不是完全必须同时采用,也是可以基于应用场景选择性使用。

多项授权合作,Synaffix公司ADC专利技术解析

来源:CN108883191

在合作中,虽然进行了授权,但ADC Therapeutics、Mersana Therapeutics似乎也在进行技术的优化和升级;不过,产品的外在表现上,仍然具有一定的相通性。ADC Therapeutics,作为近期成功将首个CD19抗体偶联药物推向市场的企业,可以说应该也是具有了自己独特的ADC技术见解;然而,在实体瘤领域,公开的信息显示,ADC Therapeutics更多的应用了Synaffix的ADC技术。

多项授权合作,Synaffix公司ADC专利技术解析

来源:ADC Therapeutics

Mersana Therapeutics的多个临床产品也具有相似的技术特征。同时,Mersana 也有多个自己的ADC技术平台,包括Dolaflexin,该平台利用其专有的可生物降解、高度生物相容的水溶性聚合物Fleximer,能够实现携带多个药物分子,药物分子通过优化的可裂解的接头连接至Fleximer支架,而不是直接与抗体偶联,然后通过不可裂解的接头与抗体偶联。

多项授权合作,Synaffix公司ADC专利技术解析

来源:Mersana Therapeutics

结 语

随着ADC技术的发展,ADC药物也在持续突破。从应用上来说,不同的ADC技术和平台,形成了互补。根据特定的疾病领域和具体靶标,可以选择合适的ADC技术或产品策略,从而实现提高疗效、降低毒性等目的。

即使通过授权引进ADC技术,也可以持续进行优化和升级。或许,这也是ADC Therapeutics、Mersana Therapeutics等引进Synaffix公司ADC技术的考量。

多项授权合作,Synaffix公司ADC专利技术解析

蜀ICP备15013208号-3