我公司出售高质量的氨基酸液、氨基酸原粉、氨基酸微量元素、eddha铁、螯合铁等并支持肥料产品的定制,欢迎来电,免费索取样品!

  • 公司地址
    中国,四川,成都
  • 联系电话
    18681783931

eddha铁的邻位值是什么单位(有机化学之熟悉的陌生“酸”)

把将要提到的酸分为四类:

教材拓展类:教材提过的酸还有什么奇妙性质;

植物与食品:从植物中提取,以植物命名的酸,食品添加剂里的酸(盐);

生物化学类:人体内的酸;

高级脂肪酸:它们也在人体内,提取于油脂中,油脂在哪?在你肚子里。

教材拓展类

碳酸

我们从熟知的碳酸说起,“有机物和无机物没有明显界限”这句话用在碳酸身上很合适。碳酸里的C满足四价键结构,连着C=O和两个羟基。你敢相信吗?H2CO3这个仅由6原子组成的小分子里,包含一个羰基,两个羟基,两个羧基,两个酯基,甚至它自己又是醇又是酯,还能和醇发生酯化反应。

有机化学之熟悉的陌生“酸”

它是碳的最高价化合物,是所有有机物被氧化的终点,归为无机也许因为它太牛了。碳酸是我们见过的第一个多元弱酸,分步电离的方程要会写。

蚁酸

甲酸俗称蚁酸,HCOOH(描述:H-羧基),最简单的有机弱酸。存在于蜜蜂,蚂蚁,毛虫的分泌物中。课本里说被蚂蚁蛰了其实是把甲酸注入皮肤下,抹些纯碱溶液中和了就不痒了。

有机化学之熟悉的陌生“酸”

甲酸分子中有醛基,所以甲酸有还原性,能发生银镜反应,能使新制Cu(OH)2悬浊液变色。

醋酸

醋酸学名叫乙酸,注意不是蚁酸,(描述:甲基-羧基)是弱酸。有多弱,25℃时0.4%醋酸分子能发生电离。不要觉得这个数字很小,在弱酸里它的酸性还挺强的。它是阵营2里的老大!

我们把弱酸分成两个阵营,阵营1是当之无愧的王者,矮子(弱酸)里的大将军:亚硫酸,亚硝酸,氢氟酸,剩下的阵营2里,以醋酸为老大,HAc>H2CO3>HClO,这也是醋酸能除水垢的原因。

醋酸的凝固点16℃,所以它夏天是液体,冬天是固体,固体时候我们叫它冰醋酸。

醋酸能发生很多无机酸反应,和铁粉/铁锈反应,和碳酸钠/碳酸氢钠反应,和氢氧化钠反应,有机无机没什么明显界限。

草酸

乙二酸的俗称,(描述:羧基-羧基)HOOC-COOH。两个羧基就要比一个羧基厉害,这是强酸!酸性是醋酸的一万倍。草本植物中基本都含有。

有机化学之熟悉的陌生“酸”

它的钙盐——草酸钙我们也很熟悉,我们总说豆腐和菠菜不能一起吃,就是因为豆腐(含Ca2+)和菠菜(含草酸)在体内反应生成难消化的草酸钙沉淀。

苯磺酸

苯的磺化反应生成苯磺酸C6H5-SO3H(描述:苯-磺基)。

有机化学之熟悉的陌生“酸”

分子模型中除苯环外的部分称为磺基,在水中磺基完全电离,所以苯磺酸是强酸,酸性比硫酸,乙二酸都强。

苯甲酸

也称安息香酸,结构式C6H5-COOH,(描述:苯-羧基)弱酸。

有机化学之熟悉的陌生“酸”

我们总听说它的钠盐——苯甲酸钠,广泛被使用的食品防腐剂,速冻食品,薯片,酸奶,饼干,糖类饮料,你可以在很多食品包装袋的配料表中找到它。

石炭酸

石炭是古代对煤的叫法,石炭酸就是苯酚(描述:苯-羟基),苯酚符合酸的电离理论:

C6H5OH?H+ + C6H5O-

说它酸性不足以使指示剂变色,这个指示剂说的是石蕊。石蕊的变色范围5-8(<5红,>8蓝),不到5就说人家“太弱”真的合适吗。

植物食品类

柠檬酸

又称枸(音举)橼酸,三元酸,存在于柠檬、柑橘、菠萝,特别是柠檬和青柠中含有大量柠檬酸。

有机化学之熟悉的陌生“酸”

动物骨骼、肌肉、血液中含有少量。纯品柠檬酸有一种诱人的酸味。

山梨酸

化学名称2,4-己二烯酸,结构式:CH3-CH=CH-CH=CH-COOH。(描述:6碳链,最后羧基,2,4位双键)

有机化学之熟悉的陌生“酸”

一般认为C6-C26是高级脂肪酸,它刚够高级脂肪酸的最低标准,而且是双不饱和高级脂肪酸。它的钾盐更被人熟知——山梨酸钾,与苯甲酸钠类似,山梨酸(钾)能抑制霉菌活性,延长食品保存时间,防腐效果是苯甲酸钠的5-10倍,而且被人体吸收分解为二氧化碳和水,在体内无残留。有兴趣找苯甲酸钠的同时,也可以找找山梨酸钾。

酒石酸

化学名2,3-二羟基丁二酸(描述:羧-碳-碳-羧,每个碳上连1个羟基),存在于葡萄,葡萄酒中。它是葡萄酒“钻石”,在酒塞,酒液中偶尔能看到一种微小、近乎透明的晶体,那就是酒石酸晶体。

有机化学之熟悉的陌生“酸”

有意思的是,虽然酒石酸无毒无害,但有些人不认识就认为酒有问题,或以为是酒里的玻璃渣。

苹果酸

化学名2-羟基丁二酸,结构式HOC-CH(OH)-CH2-COOH(描述:苹果酸比酒石酸少一个羟基)

有机化学之熟悉的陌生“酸”

几乎存在于一切果实中,苹果,梨,菠萝等含有最多,有特殊愉快的刺激性酸爽味。与柠檬酸相比,苹果具特殊香味,不积累脂肪,好东西哦。

肉桂酸

化学名苯丙烯酸,结构式C6H5-CH=CH-COOH。有桂皮香气,是从肉桂皮分离出的有机酸,用于香精香料、食品添加剂等方面。这应该是吃货最爱了,我们闻五香粉,十三香,红烧肉的香气,大多来源于此。

咖啡酸

化学名3,4-二羟基肉桂酸,结构式(HO)2-C6H3-CH=CH-COOH(描述:比肉桂酸多两个酚羟基),最重要的作用就是止血,具有抑菌作用,抗蛇毒,用于医药行业,抗菌,抗病毒。

谷氨酸

学名2-氨基戊二酸,结构式HOC-CH(NH2)-CH2-CH2-COOH(描述:5碳链,两端各连着羧基,第二个碳连氨基)分子结构上讲它和上面说的酒石酸,苹果酸有相似的地方,两端被羧基堵住的碳链。只不过它是5碳链,而且连有氨基。

有机化学之熟悉的陌生“酸”

谷氨酸是一种氨基酸,种存在于大量谷类蛋白质中,有鲜味。谷氨酸的钠盐——谷氨酸钠(α-氨基戊二酸一钠)是味精的主要成分。说起味精的发现,也有一段故事。

1908年,日本帝国大学化学教授池田菊苗偶然发现海带汤味道鲜美,半年后从海带中提取出谷氨酸钠。商人铃木三朗助和池田联手,一种叫“味之素”的商品诞生在东京浅草——“家有味之素,白水变鸡汁”。不久传入中国,化学家吴蕴初发明出一种更加廉价的生产方法,取名叫味精,1923年,吴蕴初在上海创立味精厂推出“佛手牌”味精,吴蕴初也获得“味精大王”的称号。

生物化学类

水杨酸

邻羟基苯甲酸(描述:-OH和-COOH在苯环上邻位相连),脂溶性(在非极性溶剂如苯、乙醚、四氯化碳等中溶解)。用于医药,化妆品防腐剂,配制动物香精等。

乙酰(音先)水杨酸

阿司匹林(AspIrIn)的主要成分,结构式CH3COO-C6H4-COOH。

有机化学之熟悉的陌生“酸”

阿司匹林是世界上应用最广泛的解热镇痛抗炎药,它能抑制血小板的聚集,预防心脑血管疾病的发作。它与青霉素,安定并称为医药史三大经典药物。

乳酸

学名2-羟基丙酸,结构式CH3-CH(OH)-COOH(描述:3碳酸,中间碳连羟基)对人体来说,乳酸是伴随运动产生的废物。人体血液把葡萄糖送至各个器官的过程中会产生丙酮酸,结合氢生成乳酸。如果代谢正常,丙酮酸被血液带至肝脏,被分解为水和二氧化碳,产生热量,疲劳就消除了。如果运动过久,分解乳酸的维生素矿物质不足,就造成乳酸堆积,肌肉酸痛发冷。

抗坏血酸

又称维生素C,分子式C6H8O6,是人类必需营养素,缺乏会造成坏血病。维生素C是一种抗氧化剂,保护身体免于自由基的威胁。各类新鲜蔬果,蔬菜中都含有大量维生素C。

有机化学之熟悉的陌生“酸”

你看它的分子式里是没有羧基的,我们叫它酸是因为结构中含有大π键,造成羟基上的氢容易脱离而显酸性。

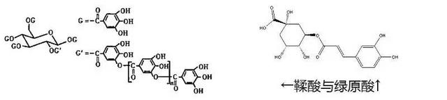
鞣酸

也成单宁酸,分子式C76H52O46真复杂。用于皮革制造行业。一度有传言说茶叶里含有大量鞣酸,后被辟谣茶叶中苦涩味的物质不是鞣酸,而是茶多酚。

绿原酸

也称咖啡单宁酸,分子式C16H18O9,真复杂。

有机化学之熟悉的陌生“酸”

是绿茶的提取物,用于肝胆类药物,抗菌抗病毒,保健品等。

DHA

22碳六烯酸,俗称脑黄金,是一种对人体非常重要的不饱和脂肪酸,是大脑和视网膜的重要成分,在大脑皮层和视网膜中含量很高,对胎婴儿智力和视力发育至关重要。

玻尿酸

又称糖醛酸,透明质酸。百度搜玻尿酸前三位:玻尿酸除皱,玻尿酸隆鼻,玻尿酸多少钱一支,你就知道它的作用了。

有机化学之熟悉的陌生“酸”

玻尿酸并不是单纯的酸,而是由葡萄糖醛酸和乙酰葡糖胺聚合成的高聚物。

高级脂肪酸

正辛酸

俗称羊脂酸,结构通过名字很好想象,饱和高级脂肪酸。能列出它只是单纯的因为名字好玩。别说啦,我正心酸呐 ╮(╯▽╰)╭

油酸

单不饱和的18碳脂肪酸,分子式C17H33COOH,从分子式能看出烃基有一个不饱和度(双键),位置在最中间的C上,结构式简写成C9=C8-COOH(自编写法)。

有机化学之熟悉的陌生“酸”

油酸主要来源于自然界,存在于一切动植物油脂中。

反油酸

C=C双键存在顺反异构,油酸的顺反异构体称为反油酸。把上图油酸翘起来的右边掰下去就是反油酸。我们这些年总听一个词:反式脂肪酸,据说好处多多,反油酸就是一种反式脂肪酸。你可以自己想想,它俩的红外光谱,核磁共振氢谱图一样吗?

亚油酸

亚油酸和油酸都是18酸,比起油酸多一个不饱和度。化学名十八碳二烯酸,结构简写成C6=C3=C8-COOH(自编写法)。亚油酸是公认的必需脂肪酸,但人体无法合成。如果缺乏亚油酸,胆固醇会发生代谢障碍,在血管壁上沉积下来,逐步形成动脉粥样硬化,引发心脑血管疾病。仅多一个双键,在人体内作用大了这么多!

亚麻酸

18碳三烯脂肪酸,比起油酸和亚油酸又多了一个不饱和度,是构成人体组织细胞的主要成分,在人体内不能合成,必须从体外摄取。人体缺乏会引起脂质代谢紊乱,免疫力降低、健忘、疲劳、视力减退。婴幼儿、青少年缺乏会严重影响其智力正常发育。

硬脂酸

它和油酸,亚油酸的碳链也一样长,都是18酸,饱和酸。化学名十八烷酸,结构和油酸比起来,就是不饱和键被加成后的产物。它的钠盐——硬脂酸钠是肥皂的主要成分。初中讲肥皂水能鉴别硬水软水:

硬脂酸钠 + Ca2+→ 硬脂酸钙↓+ Na+

硬脂酸钠+ Mg2+→硬脂酸镁↓+ Na+

小贴士:等链长的羧酸,按照饱和度递增的顺序:

硬脂酸→油酸(反油酸)→亚油酸→亚麻酸

软脂酸

软脂酸是比硬脂酸短两节的饱和酸,也叫棕榈酸,化学名十六烷酸。它不提供能量,在奶制品、奶昔中所含的饱和脂肪在食用后可以直接作用于大脑,让大脑关闭提醒吃饱的“警报”机制。你想撑死谁,给他吃软脂酸。

蜀ICP备15013208号-3