我公司出售高质量的氨基酸液、氨基酸原粉、氨基酸微量元素、eddha铁、螯合铁等并支持肥料产品的定制,欢迎来电,免费索取样品!

  • 公司地址
    中国,四川,成都
  • 联系电话
    18681783931

氨基酸测序仪品牌(真迈生物GenoLab M与Sentieon DNAscope联合打造高精度变异检测方案)

姘ㄥ熀閰告祴搴忎华鍝佺墝

鐪熻繄鐢熺墿GenoLab M涓嶴entieon DNAscope鑱斿悎鎵撻€犻珮绮惧害鍙樺紓妫€娴嬫柟妗?/strong>

杩戞棩锛岀湡杩堢敓鐗╀笌Sentieon鍥㈤槦鍚堜綔锛屽紑鍙戝苟楠岃瘉浜?/span>GenoLab M娴嬪簭浠惌閰岲NAscope涓撳睘鍒嗘瀽妯″瀷鐨勯珮绮惧害鍙樺紓妫€娴嬫柟妗?/span>銆傚熀浜庤妫€娴嬫柟妗堬紝鍦ㄤ汉婧愮粏鑳炵郴鏍囧噯鍝佸叏鍩哄洜缁勶紙WGS锛変笌鍏ㄥ鏄惧瓙缁勯噸娴嬪簭锛圵ES锛夋祴璇曚腑锛孏enoLab M灞曠幇鍑轰簡鐩稿浜嶪llumina NovaSeq涓嶯extSeq娴嬪簭骞冲彴鍦⊿NP涓嶪ndel妫€娴嬪噯纭害鐨勬樉钁椾紭鍔裤€?/span>

鐪熻繄鐢熺墿GenoLab M涓嶴entieon DNAscope鑱斿悎鎵撻€犻珮绮惧害鍙樺紓妫€娴嬫柟妗? onerror=

楂橀€氶噺娴嬪簭鎶€鏈畬鎴愬晢涓氬寲鐨?5骞撮棿锛屽競鍦哄熀鏈笂琚獻llumina娴嬪簭骞冲彴鎵€鍨勬柇銆傚挨鍏舵槸2014骞村叾鎺ㄥ嚭鐨勬闈㈠紡娴嬪簭浠狽extSeq 500浠ュ強2017骞存帹鍑虹殑鐢熶骇宸ュ巶绾у埆鐨凬ovaSeq 6000锛屼唬琛ㄤ簡杩欎袱涓骇鍒祴搴忎华鐨勪富娴佹按骞炽€傜劧鑰岋紝涓氱晫甯屾湜鏈夋洿澶氱殑閫夋嫨锛屾湡寰呮湁鏂扮殑娴嬪簭浠搧鐗岀殑浜у搧鑳藉鍚屾椂婊¤冻绮惧噯楂樻晥锛岀伒娲伙紝缁忔祹鐨勫簲鐢ㄩ渶姹傘€?/span>

鐪熻繄鐢熺墿鎺ㄥ嚭浜嗗叏鏂版闈㈢骇娴嬪簭骞冲彴GenoLab M銆傝骞冲彴鍩轰簬鑺墖鎵╁鐨勮〃闈㈣崸鍏夋祴搴忔妧鏈疭URFseq(Surface Restricted Fluorescence Sequencing)瀵圭⒈鍩虹殑鑽у厜淇″彿杩涜璇嗗埆锛屽疄鐜板ぇ瑙勬ā骞惰娴嬪簭锛屽湪涔嬪墠鍙戣〃鐨勮浆褰曠粍璇勬祴鏂囩珷涓睍鐜颁簡涓嶄織鐨勫簲鐢ㄦ綔鍔涖€傛湰娆″熀浜嶨enoLab M骞冲彴鐨勬祴搴忔暟鎹粨鍚圫entieon DNAscope鍒嗘瀽娴佺▼锛屼害鑾峰緱浜哤GS鍜學ES鐨勯珮鍑嗙‘搴﹀彉寮傜粨鏋滐紝璇佹槑浜咷enoLab M骞冲彴鍦―NA鍜孯NA娴嬪簭棰嗗煙鐨勯€氱敤鎬с€?/span>

Sentieon鐨凞NAsocpe鍒嗘瀽娴佺▼鍩轰簬鏈哄櫒瀛︿範鍘熺悊锛岀浉姣斾簬寮€婧怗ATK鑳藉鏇村揩鏇村噯纭殑澶勭悊DNA娴嬪簭鏁版嵁锛屽畬鎴愬彉寮傛娴嬨€傜浉姣斾簬閽堝Illumina骞冲彴寮€鍙戠殑GATK娴佺▼锛孲entieon DNAscope鍙互閫氳繃璁粌涓嶅悓鐨勭畻娉曟ā鍨嬶紝鐗瑰紓鎬х殑閫傞厤鍚勭娴嬪簭骞冲彴鐨勬暟鎹壒鎬э紝绾犳绯荤粺鎬у亸宸紝鎻愬崌鍙樺紓妫€娴嬪噯纭巼銆?/span>

鏈枃涓紝浣滆€呭洟闃熶娇鐢∟A12878浜烘簮缁嗚優绯绘爣鍑嗗搧DNA鏋勫缓鐨刉GS鍜學ES锛圓gilent V8鎹曡幏锛変袱涓枃搴撳垎鍒湪GenoLab M銆丯ovaSeq 6000鍜孨extSeq 500骞冲彴涓婅繘琛屾祴搴忥紝NovaSeq/NextSeq骞冲彴娴嬪簭缁撴灉浣跨敤GATK绠楁硶锛堟枃涓娇鐢ㄧ殑Sentieon DNAseq杞欢鏄熀浜嶨ATK绠楁硶鐨勪竴涓姞閫熸柟妗堬級鍒嗘瀽浣滀负鏍囧噯娴佺▼浜х敓鍩虹嚎鏁版嵁锛屼笌GenoLab M骞冲彴娴嬪簭鏁版嵁浣跨敤DNAscope閫傞厤娴佺▼鐨勭粨鏋滆繘琛屽噯纭害鐨勬瘮瀵广€?/span>

鍥捐〃1 娴佺▼鍥?/span>

鐪熻繄鐢熺墿GenoLab M涓嶴entieon DNAscope鑱斿悎鎵撻€犻珮绮惧害鍙樺紓妫€娴嬫柟妗? onerror=

浣跨敤涓ょ鏍囧噯鍝佹枃搴擄紝涓夌娴嬪簭骞冲彴锛屼袱绉嶅垎鏋愬伐鍏锋惌寤虹殑椤圭洰娴佺▼鍥?/p>

缁熻GenoLab M銆丯ovaSeq 6000鍜孨extSeq 500鐨刉GS鍜學ES娴嬪簭鏁版嵁鍙锛孏enoLab M鍘熷涓嬫満鏁版嵁鐨勮川閲忓€间粙浜嶯ovaSeq 6000鍜孨extSeq 500涔嬮棿锛屾暟鎹啑浣欑巼锛圖uplication Rate锛夎緝浣?

鍥捐〃2 娴嬭瘯鏁版嵁闆嗙殑鍩烘湰璐ㄦ帶

鐪熻繄鐢熺墿GenoLab M涓嶴entieon DNAscope鑱斿悎鎵撻€犻珮绮惧害鍙樺紓妫€娴嬫柟妗? onerror=

GL_WGS_22/GL_WGS_33:鍒嗗埆浠h〃GenoLab M骞冲彴WGS娴嬪簭娣卞害22X/33X鏁版嵁

NA_WGS_22/NA_WGS_33:鍒嗗埆浠h〃NovaSeq 6000骞冲彴WGS娴嬪簭娣卞害22X/33X鏁版嵁

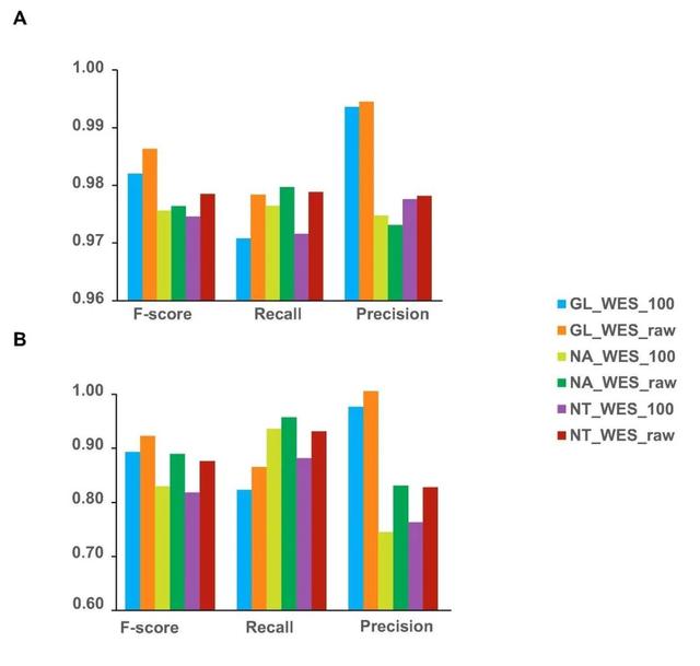
GL_WES_100/GL_WGS_raw:鍒嗗埆浠h〃GenoLab M骞冲彴WES娴嬪簭娣卞害100X/鍘熷涓嬫満鏁版嵁

NA_WES_100/NA_WGS_raw:鍒嗗埆浠h〃NovaSeq 6000骞冲彴WES娴嬪簭娣卞害100X/鍘熷涓嬫満鏁版嵁NT_WES_100/NT_WGS_raw:鍒嗗埆浠h〃NextSeq 500骞冲彴WES娴嬪簭娣卞害100X/鍘熷涓嬫満鏁版嵁

WGS鏁版嵁娴嬭瘎缁撴灉

鏂囩珷棣栧厛鍒嗘瀽浜咷enoLab M浠ュ強NovaSeq 6000骞冲彴鍦ㄥ叏鍩哄洜缁勬暟鎹鐞嗕腑鐨勮〃鐜帮紝鑰冭檻鍒版祴搴忔繁搴﹀喅瀹氫簡澶ч儴鍒嗘暟鎹敓鎴愮殑鎴愭湰锛屾垜浠湪33x娣卞害浠ュ鍙堥€氳繃闄嶉噰鏍峰鍔犱簡22x鐨勬祬娣卞害鏁版嵁杩涜鍒嗘瀽銆傚垎鏋愬畬鎴愬悗涓€鍏辩敓鎴愪簡4涓猇CF鏂囦欢锛屽弬鑰僄IAB楂樼疆淇″彉寮傞泦(V4.2.1)璁$畻SNP鍜孖nDel妫€娴嬬殑鐏垫晱搴︺€佺壒寮傛€т互鍙婄患鍚團-score銆?/span>

鍙互鐪嬪嚭锛屽湪鍏ㄥ熀鍥犵粍鐨勮寖鍥村唴锛孏enolab M+DNAscope鐨勭伒鏁忓害涓庣壒寮傛€ч兘鏄捐憲瓒呰秺鍚屾繁搴︾殑NovaSeq+GATK缁撴灉锛屽苟涓斿墠鑰?2x娣卞害鐨勬暣浣撳噯纭巼鑳藉杈惧埌鍚庤€?3x鐨勬按骞筹紝灞曠幇浜嗗崜瓒婄殑鎴愭湰鎺у埗娼滃姏銆傚湪鍩哄洜缁勭殑缁嗗垎鍖哄煙锛屼篃鍙互鐪嬪埌鐩镐技鐨勭粨璁恒€?/span>

鍦ㄩ噸澶嶅簭鍒楀尯鍩烥enolab M骞冲彴灞曠幇浜嗘洿鍔犳樉钁楃殑鍑嗙‘搴︿紭鍔匡紝涓鸿鍖哄煙鐩稿叧鑷寸梾鍩哄洜鐨勬娴嬪甫鏉ヤ簡鏇村娼滃姏銆?/span>

鍥捐〃3 WGS鍙樺紓妫€娴嬬粨鏋滄暟鎹粺璁?/span>

鐪熻繄鐢熺墿GenoLab M涓嶴entieon DNAscope鑱斿悎鎵撻€犻珮绮惧害鍙樺紓妫€娴嬫柟妗? onerror=

鍏ㄥ熀鍥犵粍鑼冨洿鍐?(A) SNP銆?(B) Indel鐨勭伒鏁忓害锛岀壒寮傛€э紝F-score锛涘垎鍖哄垎鏋愪腑锛?0鍙锋煋鑹蹭綋锛坈hr20锛夈€佷綆闅惧害鍖哄煙(NIADR, not-in-all-difficult-region)銆侀噸澶嶅尯鍩?SDR, seg-dup-region)涓?C) SNP (D) InDel鐨勭伒鏁忓害锛岀壒寮傛€э紝F-score銆?/span>

WES鏁版嵁娴嬭瘎缁撴灉

鍦╓ES鐨勫噯纭巼璇勬祴涓紝浣滆€呮瘮瀵逛簡GenoLab M锛孨ovaSeq6000浠ュ強NextSeq500杩欎笁涓钩鍙扮敓鎴愮殑鏁版嵁锛屾瘡涓暟鎹張琚檷閲囨牱鍒?00x锛屼竴鍏变骇鐢?涓粨鏋滄枃浠惰繘琛屾瘮瀵广€?/span>

閫氳繃涓嬪浘鍙互鐪嬪嚭锛屽熀浜嶹ES鏁版嵁锛孏enolab M+DNAscope鍙樺紓妫€娴嬬殑鐏垫晱搴︼紙Recall锛変笌NovaSeq/NextSeq+GATK妫€娴嬬粨鏋滅被浼硷紝浣嗘槸鍙樺紓妫€娴嬬殑鐗瑰紓鎬э紙Precision锛夊ぇ骞呭害棰嗗厛锛屾渶缁堢殑缁煎悎F-score涔熻緝楂橈紝鍙互鍦?00x鐨勬繁搴︿笅杈惧埌NovaSeq/NextSeq骞冲彴鏇撮珮娣卞害鎵嶈兘杈惧埌鐨勫噯纭巼銆?/span>

鍥捐〃4 WES鍙樺紓妫€娴嬬粨鏋滄暟鎹粺璁?/span>

鐪熻繄鐢熺墿GenoLab M涓嶴entieon DNAscope鑱斿悎鎵撻€犻珮绮惧害鍙樺紓妫€娴嬫柟妗? onerror=

(A) SNP (B) InDel鐨勭伒鏁忓害锛岀壒寮傛€э紝F-score銆?/p>

鍙﹀锛屾垜浠瘮杈冧簡WES鏁版嵁骞冲彴闂村彉寮傛娴嬬粨鏋滅殑涓€鑷存€у彲浠ョ湅鍑猴紝涓変釜骞冲彴瀵筍NP鐨勬娴嬬粨鏋滀竴鑷存€ч潪甯搁珮锛岀粷澶у鏁版纭殑SNP琚墍鏈夊钩鍙版鍑猴紝浣嗕笉鍚屽钩鍙板InDel鐨勬娴嬬粨鏋滃垯鐣ユ湁宸紓銆?/span>

鍥捐〃5 WES鍙樺紓妫€娴嬬粨鏋滃钩鍙伴棿涓€鑷存€у垎鏋?/span>

鐪熻繄鐢熺墿GenoLab M涓嶴entieon DNAscope鑱斿悎鎵撻€犻珮绮惧害鍙樺紓妫€娴嬫柟妗? onerror=

锛圓锛塖NP锛岋紙B锛塈nDel銆?/p>

缁撹

GenoLab M浣滀负鏂颁竴浠f闈㈠瀷楂橀€氶噺鍩哄洜娴嬪簭骞冲彴锛屼负鐢ㄦ埛鎻愪緵浜嗕竴涓柊鐨勯€夋嫨銆傚湪鏈鐨刉GS鍜學ES璇勬祴涓紝鐪熻繄鐢熺墿GenoLab M +Sentieon DNAscope妫€娴嬫柟妗堝睍鐜颁簡浼樺紓鐨勫彉寮傛娴嬪噯纭巼锛岃繖涓嶄粎鏉ユ簮浜庢祴搴忓钩鍙版湰韬殑楂樿川閲忥紝鍚屾椂涔熸潵婧愪簬Sentieon DNAscope鐗瑰紓鎬ч€傞厤妯″瀷鐨勯珮鎬ц兘銆?/span>

鐪熻繄鐢熺墿涓嶴entieon灏嗘寔缁悎浣滐紝鍏卞悓鎺ㄥ姩DNA閲嶆祴搴忚В鍐虫柟妗堢殑鍗囩骇涓庤凯浠o紝涓轰笟鐣屾彁渚涙洿澶氭洿濂界殑鎶€鏈€夋嫨锛?/span>

鐪熻繄鐢熺墿GenoLab M涓嶴entieon DNAscope鑱斿悎鎵撻€犻珮绮惧害鍙樺紓妫€娴嬫柟妗?/strong>

蜀ICP备15013208号-3