我公司出售高质量的氨基酸液、氨基酸原粉、氨基酸微量元素、eddha铁、螯合铁等并支持肥料产品的定制,欢迎来电,免费索取样品!

  • 公司地址
    中国,四川,成都
  • 联系电话
    18681783931

EDDHA镁铁什么颜色(让叶片保持绿色的秘密)

EDDHA镁铁什么颜色

叶子怎样保存是绿色的

叶片为什么是绿色的?

物体之所以会呈现出不同的颜色,是因为它吸收的可见光不同导致的。我们肉眼看到的颜色是未被吸收而被物体反射出的光线的颜色。

让叶片保持绿色的秘密让叶片保持绿色的秘密

叶肉细胞里含有大量的叶绿体,叶绿体吸收红蓝光多,绿光吸收少,因此绿光被反射出来,肉眼看到叶片就是绿色的(当然也有叶片不是绿色的,这也是取决于它不吸收而反射出的光的颜色)。

叶绿体是光合作用工厂,而叶绿素是叶绿体进行光合作用最重要的物质。叶片浓绿程度取决于叶绿素浓度,那么叶绿素合成与哪些因素有关系呢?

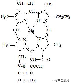
1、叶绿素结构

让叶片保持绿色的秘密

从叶绿素的结构中不难看出来,叶绿素的中心原子是镁离子,和镁相连接的是氮离子,说明镁和氮离子是合成叶绿素的关键,因此作物缺镁缺氮时叶片会发黄。这是从叶绿素结构上得出的最直接的解释,但是叶片颜色还与其他元素有关。

2、微量元素-铁

铁是叶绿素合成酶的必需元素,缺铁会导致叶绿素合成受阻,而作物对铁元素的吸收受多种因素影响,比如铁元素的形态,无机态和螯合态等。

让叶片保持绿色的秘密

此,用铁元素应选择利用率高的螯合态铁,但能螯合铁的螯合剂有很多,每种螯合剂也都有自己的特性。

1)螯合剂稳定性对比

让叶片保持绿色的秘密

通过上图显示,不同的螯合剂在不同的pH范围内稳定性不同,因此需根据实际的土壤pH值来选择合适的螯合剂,提高铁的利用率。

2)螯合剂在不同土壤上的应用效果对比

通过不同螯合剂在pH值范围内的稳定性比较得知,EDDHA与HBED螯合剂稳定性最好。那么这两种螯合剂在不同类型的土壤上应用效果如何呢?

让叶片保持绿色的秘密

从图中可以看出,无论是哪种土壤,HBED螯合剂的应用效果最好,也就说明HBED-Fe利用率最高。

3)螯合剂持效期对比

让叶片保持绿色的秘密

从图中可以看出,EDTA、EDHA、HBED这三种螯合剂,EDTA螯合剂持效期最短,HBED持效期最长。

综合以上三个试验结果(在pH范围内的稳定性、不同土壤中的应用、以及持效期的对比),可以得出哪种螯合剂最好,但螯合剂的选择还需要综合考虑投入成本等因素。因此,种植者需根据实际情况选择合适的螯合剂。

及时快速并且持续有效的补充氮、镁、铁元素,才能保障叶片颜色持久浓绿。

补铁还有一个非常重要的点,那就是安全性!

铁肥施用不当很容易造成危害,尤其是叶面喷施浓度过大或者混配种类过多都容易出现问题,因此在这里提醒大家选用产品要注意选择安全性高的产品!

让叶片保持绿色的秘密

优铁案例分享

1、番茄

山东寿光洛城街道-梁师傅

种植品种:齐达利番茄

缺铁现象出现时间:点五穗花时开始出现上部叶片发黄的现象

使用方法:优铁进行叶面喷雾, 100克配6桶水

优铁使用的第二天(约24小时后),梁师傅就说优铁起作用了。

让叶片保持绿色的秘密

可以明显看出荷微素?优铁使用前后的区别:

让叶片保持绿色的秘密让叶片保持绿色的秘密

蔬菜缺铁补铁方案

如缺铁严重,建议优铁100克打6-8桶水,隔3—4天再使用一次。一般缺铁现象严重的棚室与根系吸收不良有关,建议叶面喷雾配合地下冲施或滴灌,一亩地使用200克荷微素?优铁,给作物双重吸收,效果更佳。

2、桃树

试验效果:原本黄化的叶片从主叶脉开始,逐步整叶变绿,新生叶片完全变绿。对照区叶片黄化更加严重。

让叶片保持绿色的秘密

对 照

▼试 验

让叶片保持绿色的秘密让叶片保持绿色的秘密

使用前

▼使用后

让叶片保持绿色的秘密

3、葡萄

试验效果:

荷微素?优铁的使用,让原本黄化的葡萄叶片从叶脉开始变绿;绿色范围向叶脉周围逐步扩散,果穗、新稍等也恢复绿色。

让叶片保持绿色的秘密

试验效果:叶片由黄转绿,效果显著。

让叶片保持绿色的秘密

使用前

▼优铁使用后

让叶片保持绿色的秘密

荷微素?优铁

功效特点:

  • 含有多种螯合剂,铁素稳定性强,同时兼具速效与长效,预防或快速矫正缺铁症状。

  • 部分螯合技术具有抗紫外线功能,解决了强光下使用失活问题。

  • 适用超宽pH值(2-12)范围,适用多种土壤,应用方便。

建议使用:

  • 冲施:蔬菜每亩每次100-200克,兑水至少1000倍液以上施用;果树每次每株根据树龄和缺素情况3-15克。

  • 滴灌:蔬菜每亩每次50-100克,兑水至少1000倍液以上施用;果树每次每株根据树龄和缺素情况3-15克。

让叶片保持绿色的秘密

让叶片保持绿色的秘密,叶子怎样保存是绿色的

蜀ICP备15013208号-3