我公司出售高质量的氨基酸液、氨基酸原粉、氨基酸微量元素、eddha铁、螯合铁等并支持肥料产品的定制,欢迎来电,免费索取样品!

  • 公司地址
    中国,四川,成都
  • 联系电话
    18681783931

氨基酸氢铟价格(催化周报:Nat Catal、Nat Energy、Nat Chem等大合集)

1. Adv. Energ. Mater.:空气辅助亚稳态氧化镍的合成促进碱性燃料氧化反应

催化周报:Nat. Catal.、Nat. Energy、Nat. Chem.等大合集!

构建活性和耐用的非贵金属基电催化剂是燃料电池实际应用和发展的重要要求之一,目前这一领域受到了相对缓慢的电荷传输和反应动力学的制约。本文通过空气辅助瞬态热冲击策略合成了高分散的超薄碳涂层氧化镍纳米颗粒,这些纳米颗粒附着在碳布(NiO@C/CC)上,可作为碱性燃料氧化的高效催化剂。该NiO@C/CC催化剂在电氧化乙醇(甚至甲醇和乙二醇)中具有优异的催化活性(最高119.1 mA cm?2)和耐久性(测试过程中有少量电流衰减),性能优于大多数报道的非贵金属催化剂。NiO@C/CC的优良的催化性能是由于氧空位,高浓度,高价态镍,和NiO@C NPs碳层,有助于调节表面性能和电子结构,提高电荷转移,并提供丰富活跃的位点,促进反应物分子在其表面的吸附能力。简单而有前途的空气辅助瞬态热冲击策略可以推广到指导过渡金属化合物的合理设计和快速合成,作为碱性直接醇燃料电池的高级催化剂。

催化周报:Nat. Catal.、Nat. Energy、Nat. Chem.等大合集!

原文链接:

https://doi.org/10.1002/aenm.202070187

2. ACS Catal.:在Cr2O3/ZSM-5催化剂上选择性地将合成气转化为轻芳烃的沸石形态的关键因素

催化周报:Nat. Catal.、Nat. Energy、Nat. Chem.等大合集!

利用氧化沸石双功能催化剂一步法将合成气转化为芳烃(STA)是一种很有前景的芳烃生产方法。控制芳香族的分布,提高苯、甲苯和二甲苯(BTX)的选择性仍然是一个很大的挑战。复合反应网络去耦合,芳构化和烷基化的相对活性决定了ZSM-5的芳族分布。在此,我们在Cr2O3/ZSM-5上研究了STA反应,以揭示沸石形态参数对芳香族分布的影响。用SC9+/A“芳香环取代比”来反映烷基化芳构化的相对速率,揭示了SC9+/A与ZSM-5的形态参数(1/b)的线性关系。提出了通过沿b轴改变ZSM-5晶体尺寸来控制芳香族分布的方法。通过与ZSM-5的离子交换进一步增强其芳构化活性,研制出了BTX空时产率为2.47 mmol g-1 h-1(在碳基上)、BTX馏分为49.1%的双官能团催化剂。

催化周报:Nat. Catal.、Nat. Energy、Nat. Chem.等大合集!

原文链接:

https://doi.org/10.1021/acscatal.0c03658

3. ACS Catal.:探究尖晶石型氧化物Mg1-xCuxAl2O4中Cu物质的配位结构以研制CO2至甲醇加氢催化剂

催化周报:Nat. Catal.、Nat. Energy、Nat. Chem.等大合集!

金属Cu纳米颗粒在金属氧化物载体上的分散增加了暴露的金属Cu位点和/或Cu载体界面位点的数量,从而对CO2至甲醇加氢具有良好的催化性能。然而,高分散的铜纳米颗粒的形成是具有挑战性的,因为它们很容易烧结。在本研究中,我们使用掺杂铜的MgAl2O4(Mg1-xCuxAl2O4)进行了简单的沉积还原技术,研究了纳米铜颗粒的形成。Mg1-xCuxAl2O4具有以下三种Cu2+物种:短O-Cu八面体配位[CuO6]s、长O-Cu八面体配位[CuO6]el和四面体配位[CuO4]t。前两个在反尖晶型Mg1-xCuxAl2O4中发现,另一个在正尖晶型Mg1-xCuxAl2O4中发现。

此外,通过对Cu2+物种还原性的不同研究,我们明确了它们的比例与Cu负荷有关。低Cu负荷(x<0.3)时,Mg1-xCuxAl2O4主要含有[CuO6]s。另一方面,对于高Cu负荷(x≥0.3),[CuO6]el和[CuO4]t的比例增加。值得注意的是,在所制备的催化剂中,H2还原的Mg0.8Cu0.2Al2O4(x=0.2)暴露出的金属Cu位点最多,因此具有良好的催化性能。因此,[CuO6]s的H2还原对于在金属氧化物上形成金属铜纳米颗粒至关重要。

催化周报:Nat. Catal.、Nat. Energy、Nat. Chem.等大合集!

原文链接:

https://doi.org/10.1021/acscatal.0c02868

4. ACS Catal.:丙烯与甲醛在杂多酸催化剂上气相Prins缩合一步法合成丁二烯

催化周报:Nat. Catal.、Nat. Energy、Nat. Chem.等大合集!

研究了以丙烯和甲醛为原料,在二氧化硅负载的杂多酸(HPA)上气相连续合成丁二烯。硅钨酸(SiW)被认为是最活跃和最具选择性的HPA。在低SiW负载下,催化剂由于会形成丁烯副产物而选择性低,而在高负载(≥40wt%)下,可以选择性地形成丁二烯并具有稳定的性能。强的布忍司特酸位点与SiW质子在丁二烯合成中表现的更活跃,与由HPA质子与二氧化硅载体的相互作用形成Si-OH2+位点相比。动力学研究和产物合成实验表明,丙烯活化或C-C键的形成是决定反应速率的步骤,丁二烯和丁烯都是在强酸位点上由共同的中间产物生成的。在较弱的酸位点上,丁醛与甲醛缩合生成2-乙基丙烯醛。此外,丁二烯与甲醛的相互作用使反应变得复杂,2,3-二氢吡喃,丙烯齐聚和裂解,甲醛向CO和H2分解,大量焦炭形成导致催化剂失活。然而,通过优化反应温度、SiW负载和反应介质中的水含量,我们可以实现丁二烯选择性高达64%和稳定的催化剂性能。

催化周报:Nat. Catal.、Nat. Energy、Nat. Chem.等大合集!

原文链接:

https://doi.org/10.1021/acscatal.0c03282

5. ACS Catal.:Li-MgO催化剂对甲烷氧化偶联反应的单位点催化

催化周报:Nat. Catal.、Nat. Energy、Nat. Chem.等大合集!

Li-MgO是甲烷氧化偶联反应(OCM)的典型催化剂,OCM是多相催化中最具挑战性的反应之一。在这里,我们报道了Li添加剂重构MgO以提高MgO{110}面四倍配位Mg2+位点(Mg4c2+)的表面密度,最终导致Li-MgO催化剂仅暴露Mg4c2+位点。这些Li-MgO催化剂通过活化甲烷生成甲基自由基中间体,有效地催化了OCM反应,并最小化了进一步的解离和随后的燃烧反应。这些结果表明,在Li含量高的Li-MgO催化剂中,MgO{110}表面的Mg4c2+具有高效的单位点催化作用,可用于OCM反应,这可能为开发工业上可行的OCM催化剂提供一些思路。

催化周报:Nat. Catal.、Nat. Energy、Nat. Chem.等大合集!

原文链接:

https://doi.org/10.1021/acscatal.0c03896

6. Angew. Chem. Int. Ed.:镍催化苄基三氟硼酸钾与有机卤化物的电化学C(sp3)?C(sp2)交叉偶联反应

催化周报:Nat. Catal.、Nat. Energy、Nat. Chem.等大合集!

在此,作者报告了温和条件下在不隔离的电解槽中使用便宜、结构稳定的NiCl2?glyme/多吡啶催化剂来催化结构稳定的芳基卤化物或β-溴代苯乙烯(亲电试剂)和苄基三氟硼酸钾(亲核试剂)的氧化还原中性电化学C(sp3)?C(sp2)交叉偶联反应。以芳基/β-苯乙烯酰氯/溴化物和三氟硼酸苄酯为例,证实了镍催化的电化学偶联反应范围广,收率高。通过电化学合成和药物的后期功能化以及天然氨基酸修饰,证明了其潜在的应用前景。此外,为了证明实际的工业应用,在流动电池电解槽中进行了三次电化学C?C交叉偶联反应。一系列的化学和电化学研究从机理上表明,所研究的电化学C?C交叉偶联反应是通过一种非常规的自由基反金属化机制进行的。所提出的镍催化电化学C(sp3)?C(sp2)交叉耦合模式是高效的,有望在有机合成中得到广泛的应用。

催化周报:Nat. Catal.、Nat. Energy、Nat. Chem.等大合集!

原文链接:

https://doi.org/10.1002/anie.202014244

7. Angew. Chem. Int. Ed.:噻唑并[5,4-d]噻唑基的D-A型共价有机框架用于太阳光驱动的析氢

催化周报:Nat. Catal.、Nat. Energy、Nat. Chem.等大合集!

二维共价有机框架(COF)可拥有规整的光和电活性单元的排列,作为太阳能收集和转换的电子或空穴传输通道,但它们的电荷转移不足和快速电荷复合阻碍了太阳光驱动的光催化性能。作者报道了一个新的供体-受体(D-A)体系PyTz-COF,它是由富含电子的芘(Py)和缺电子的噻唑[5,4-D]噻唑(Tz)构成的。PyTz-COF具有双连续异质结,在超氧自由基负离子介导的(芳甲基)胺偶联反应中表现出优异的光电性能、光催化能力以及在太阳光驱动下的析氢反应中的光电化学活性。值得注意的是, PyTz-COF在0.2 V vs. RHE下的光电流高达100 mA cm-2,并且可以达到2072.4 mmol g-1h-1的析氢速率。这项工作为高效、高活性太阳能收集与转换体系的网状设计铺平了道路。

催化周报:Nat. Catal.、Nat. Energy、Nat. Chem.等大合集!

原文链接:

https://doi.org/10.1002/anie.202014408

8. Angew. Chem. Int. Ed.:Heusler化合物的eg轨道占有率的调节用于析氧反应

催化周报:Nat. Catal.、Nat. Energy、Nat. Chem.等大合集!

Heusler化合物具有良好的机械稳定性、金属导电性以及电子结构和元素组成的可调性,在电催化方面具有很大的潜力。本文首次报道了Co2YZ型Heusler化合物作为电催化剂在析氧反应中的应用。作者采用电弧熔炼法合成了一系列Co2YZ晶体,通过改变化合物的Y和Z位精确地调节Co的eg轨道填充。Co2MnZ化合物(Z=Ti、Al、V和Ga)上的反应Co位的eg轨道填充与OER活性之间存在着强烈的相关性,因此当eg轨道填充接近饱和时,可以获得更高的催化电流。在其他Heusler化合物(Co2VZ,Z=Sn和Ga)中,也观察到了类似的eg轨道填充趋势。本文证明了Heusler化合物作为一类新型OER电催化剂的应用概念,以及自旋轨道的调节对其催化性能的影响。

催化周报:Nat. Catal.、Nat. Energy、Nat. Chem.等大合集!

原文链接:

https://doi.org/10.1002/anie.202013610

9. Adv. Funct. Mater.:通过双位点的调节设计水解离动力学导向的硫化镍用于高效碱性析氢

催化周报:Nat. Catal.、Nat. Energy、Nat. Chem.等大合集!

碱性析氢反应(HER)的反应动力学是中间物种(H2O、OH和Hads)吸附和解吸之间的权衡。然而,由于中间产物吸附能与电子态之间的复杂关联,在原子水平上有针对性地调节吸附能并不全面。本文利用非金属元素(B,N,O,F)来调节Ni3S4的吸附能和电子结构,提出H2O和OH的吸附能与过渡金属Ni的d带中心(εd)直接相关,Hads的吸附能与非金属S的p带中心(εp)呈线性关系。直接实验证明,在所有非金属掺杂样品中,εd和εp可以有规律地提高Tafel斜率和交换电流密度,F-Ni3S4表现出最小过电位为29和92 mV的最佳活性,电流密度也分别为10和100 mA cm?2。此外,微观动力学分析和密度泛函理论计算表明,F掺杂可以有效地降低Volmer步骤的势垒,最终加速其动力学。这项工作提供了原子水平上对结构-性能关系的分析,并为碱性HER和其他方面的动力学导向设计开辟了一条道路。

催化周报:Nat. Catal.、Nat. Energy、Nat. Chem.等大合集!

原文链接:

https://doi.org/10.1002/adfm.202008578

10. Angew. Chem. Int. Ed.:光催化中界面电荷转移的位置敏感性与光催化效率

催化周报:Nat. Catal.、Nat. Energy、Nat. Chem.等大合集!

了解光催化剂的结构效应和反应机理具有重要的意义。本文采用原位和时间分辨表征和密度泛函理论计算相结合的方法,对甲醇在各种锐钛矿型TiO2纳米晶上的光催化氧化进行了全面的研究。表面位置和由此产生的表面吸附物对表面带弯曲/体块-表面电荷迁移过程和界面电子结构/界面电荷转移过程具有强烈的影响。主要由{001}面包围的TiO2纳米晶暴露出高密度的有反应活性的四配位Ti4c位点(Ti4c),CH3OH分子在此处离解形成CH3O吸附质(CH3O(a)Ti4c)。CH3O(a)Ti4c表现出几乎在TiO2表面价带最大值处的局域态密度,这有利于界面空穴转移过程;同时,高覆盖度的CH3O(a)Ti4c极大地促进了向上表面的能带弯曲,促进了体块-表面空穴迁移过程。因此,在所有观察到的表面吸附物中,CH3O(a)Ti4c表现出最高的光催化氧化速率常数。因此,主要由{001}面包围的TiO2纳米晶在光催化甲醇氧化反应中最为活跃。这些结果清楚地说明了光催化中的表面结构效应,并阐明了其机理。

催化周报:Nat. Catal.、Nat. Energy、Nat. Chem.等大合集!

原文链接:

https://doi.org/10.1002/anie.202014037

11. Angew. Chem. Int. Ed.:omega分子筛中的成对铜单体:甲烷转化为甲醇的活性中心

催化周报:Nat. Catal.、Nat. Energy、Nat. Chem.等大合集!

利用氧气将甲烷直接转化为甲醇是一种具有挑战性但有潜在回报的利用甲烷的途径。通过采用逐步化学循环的方法,铜置换的沸石可以将甲烷转化为甲醇,但生产效率仍然太低,无法实现。然而,如果活性中心的性质能够被阐明,这些信息可以用来设计更有效的催化剂。在理论和其他X射线技术的支持下,利用非常规X射线粉末衍射,对omega分子筛(Cu-omega)中高选择性、高活性的铜位点进行了定量和空间研究。这是对非铜氧化合物结构的首次全面描述,并将为未来甲烷制甲醇材料的开发提供关键模型。

催化周报:Nat. Catal.、Nat. Energy、Nat. Chem.等大合集!

原文链接:

https://doi.org/10.1002/anie.202014030

12. Chem. Mater.封面:三聚钌簇包裹的ZIF-11及其碳衍生物的原位合成用于同时转化甘油和CO2

催化周报:Nat. Catal.、Nat. Energy、Nat. Chem.等大合集!

稳定、高性能的贵金属催化剂已被证明可有效地同时转化甘油和碳酸盐,从而获得乳酸(LA)和甲酸(FA)。为此,作者开发了一种新颖方法,用于合成负载在石墨纳米多孔碳上的Ru纳米颗粒(NPs)。Ru/NCT催化剂是通过在ZIF-11孔中原位封装三聚钌簇和随后的热解过程制备的。热解温度影响Ru NPs的尺寸和结晶度以及ZIF-11-衍生碳的质构性质。优化反应参数(例如CO2来源、反应温度、反应时间和甘油/碳酸根之比)后,所需产品(LA和FA)的TON和STY显著提高。而且,这些Ru/NCT即使在连续三个循环测试后仍保持稳定,而没有浸出活性金属或没有明显的结构变化。反应性能与详细表征之间的相关性表明,具有高结晶度的大Ru NP对脱氢-加氢反应相结合表现出优异的催化活性,从而产生所需的产物。

催化周报:Nat. Catal.、Nat. Energy、Nat. Chem.等大合集!

原文链接:

https://pubs.acs.org/doi/10.1021/acs.chemmater.0c03423

13. Nat. Catal.:多胺铜电极上的电化学二氧化碳-乙烯转换

催化周报:Nat. Catal.、Nat. Energy、Nat. Chem.等大合集!

通过电化学方法将CO2转化为高附加值的化学品,有望实现向碳中和的转换。然而,由于CO2电还原具有许多可能的反应途径,提高特定碳氢化合物产品的选择性具有挑战性。本文提出了一种铜-多胺杂化催化剂,通过共电镀开发,可以显著提高生产乙烯的选择性。在?0.47V vs RHE,法拉第效率为87%±3%,全电池能量效率达到50%±2%。拉曼光谱测试表明,与含少量或不含胺官能团的添加剂相比,铜电极上夹带的多胺具有更高的表面pH值、更高的CO含量和更高的中间产物稳定性。更广泛地说,这项工作表明聚合物的加入可以改变表面反应性,并在高电流密度下提高产品选择性。

催化周报:Nat. Catal.、Nat. Energy、Nat. Chem.等大合集!

原文链接:

https://www.nature.com/articles/s41929-020-00547-0

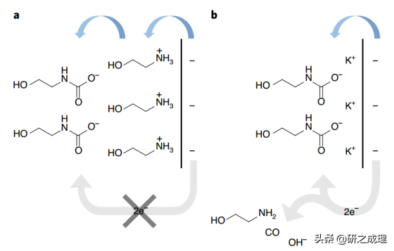
14. Nat. Chem.:用弱酸性阳离子交换层双极膜提高CO2电解效率

催化周报:Nat. Catal.、Nat. Energy、Nat. Chem.等大合集!

为了减少可再生能源的不连续性,需要将电能高效地转化为化学物质。以有效速率驱动这些电化学转化不仅需要快速的电极动力学,还需要快速的传质和离子传输。然而,关于局部环境对固体聚合物电解质中离子传导的影响却知之甚少。本研究实现了在膜电解池中在数十纳米尺度上测量和调节局部pH值。在双极性膜基通气CO2电解槽中,阳离子交换层的酸性环境导致CO2还原效率较低。采用比例指示剂和逐层聚电解质组装,测量并控制了50nm厚弱酸层内的局部pH值。弱酸层抑制了竞争的析氢反应同时不影响CO2还原。这种探测和控制局部膜环境的方法可用于电解槽、燃料电池和流动电池等装置,也可用于聚合物电解质中离子分布的研究。

催化周报:Nat. Catal.、Nat. Energy、Nat. Chem.等大合集!

原文链接:

https://doi.org/10.1038/s41557-020-00602-0

15. ACS Catal.:甲硫醇SAMs诱导Cu催化剂上Cu+的重构和生成用于化学CO2还原

催化周报:Nat. Catal.、Nat. Energy、Nat. Chem.等大合集!

利用可再生能源,在铜电极上电化学还原CO2转化为甲烷、乙烯和乙醇等有用化合物的方法有巨大的前景。尽管杂原子掺杂或衍生的氧化物铜已经在开发一种稳定的高选择性催化剂的背景下进行了研究,但是杂原子的作用尚未进一步揭示。杂原子是作为催化剂的一部分,还是仅仅诱导催化剂的重构并未明确。本文研究了用甲醇单分子膜(MT-Cu)修饰的铜电极上杂原子在电催化CO2还原中的作用,该电极能够区分来自电解液或空气的杂原子。在-1.8V Ag/AgCl条件下,使用MT–Cu电极对C2产物的控制电位电解比未改性的多晶铜电极(裸Cu)表现出更强的选择性。

另一方面,硫修饰铜(S–Cu)电极主要生成甲酸盐作为CO2还原产物。在机理研究中,使用了原位衰减全反射表面增强红外吸收光谱仪作为一种强大的表面分析技术,同时结合扫描电子显微镜、掠入射广角X射线散射(GIWAXS)和X射线能谱(XPS)。光谱数据表明,在负电位大于?1.4V时,通过电化学还原甲硫醇单分子膜,Cu+在Cu表面的重构和形成。DFT计算也在接近实验条件的偏压和水电解质条件下进行。结果表明,表面粗糙化有利于生成C2产物。此外,Cu+部分促进了C2产物的生成,表明杂原子掺杂在电化学CO2还原中起着关键作用。

催化周报:Nat. Catal.、Nat. Energy、Nat. Chem.等大合集!

原文链接:

https://doi.org/10.1021/acscatal.0c04106

16. ACS Catal.:介孔薄膜NiS2用于析氢反应的预电催化

催化周报:Nat. Catal.、Nat. Energy、Nat. Chem.等大合集!

为了满足日益增长的可持续能源需求,开发高活性、耐用、廉价的电催化剂是制氢的关键。硫化镍作为析氢反应(HER)的电催化剂具有很大的潜力;然而,关于其控制电化学转化的活性相仍存在争议。结果表明,采用一种新的软模板法合成的介孔NiS2薄膜,无需硫化,在预处理后在碱性介质中显示出优异的HER活性,介孔NiS2经历了硫浸出、表面非晶化和介孔结构的崩塌。与结晶态NiS2的比较分析表明,低配位Ni位的部分羟基化作用是其较高的HER活性的原因。

催化周报:Nat. Catal.、Nat. Energy、Nat. Chem.等大合集!

原文链接:

https://pubs.acs.org/doi/10.1021/acscatal.0c03094

17. ACS Catal.:用于乙炔选择加氢分吸附质诱导钯催化剂的结构演化

催化周报:Nat. Catal.、Nat. Energy、Nat. Chem.等大合集!

本文描述了钯物种在反应条件下的转化,以控制多相催化剂的反应性,其中实际的加氢活性位点不同于碳纳米纤维上的简单Pd位点。具体而言,在C2H2/C2H4/H2反应混合物存在下,通过同时将碳原子插入Pd晶格中,形成可渗透的非晶态碳氢化合物覆盖层,从而驱动低配位Pd碳化物的形成,从而提供更具活性的Pd- Csub@Clayer(Csub:地下碳;Clayer:表面的碳层)。这些表面效应和亚表面效应的结合抑制了了钯氢化物的生成,削弱了密度泛函理论(DFT)计算得到的的乙烯吸附能,从而改善了C2H2选择性加氢性能(100%转化率下乙烯选择性为93%)。在不含氢的情况下,会形成一个更致密、结晶的覆盖层,渗透率受到严重限制,导致活性显著降低。此外,通过X射线吸收光谱(XAS)和原位X射线衍射(XRD)研究表明,不同吸附剂的选择和温度下,不同的活性位点对催化反应起主导作用。这项工作为设计具有长期稳定性和易于制备的反应性催化位点提供了一种替代性的、可以说是一种简单的方法,将使其具有很好的工业应用前景。

催化周报:Nat. Catal.、Nat. Energy、Nat. Chem.等大合集!

原文链接:

https://pubs.acs.org/doi/10.1021/acscatal.0c03897

18. Nat. Energy:胺捕获溶液提升电化学还原CO2

催化周报:Nat. Catal.、Nat. Energy、Nat. Chem.等大合集!

基于化学吸附的CO2捕集技术具有降低CO2向大气中净排放的潜力。将捕获的二氧化碳电化学转化为增值产品将特别实用。在这里,作者发现当捕获分子与CO2的加合物无法将CO2充分靠近异质反应位点时,这一目标就较难实现。作者研究特定电化学双电层,以实现在乙醇胺电解液中化学吸附CO2的转化。使用电化学研究和原位表面增强拉曼光谱,作者发现较小的双电层距离与胺溶液中CO2转化为CO的活性提高有关。借助碱性阳离子和通过系统设计(温度和浓度)加速质量传输,作者证明了在50 mA/cm2下胺-CO2转化为CO的法拉第效率为72%。

催化周报:Nat. Catal.、Nat. Energy、Nat. Chem.等大合集!

原文链接:

https://www.nature.com/articles/s41560-020-00735-z

19. Nat. Catal.:质子交换膜燃料电池的Fe-N-C材料中持久和非持久FeNx位点的鉴定

催化周报:Nat. Catal.、Nat. Energy、Nat. Chem.等大合集!

尽管Fe-N-C材料是催化酸性聚合物燃料电池中氧还原反应有希望的替代品,但对其原位变化的了解有限,限制了提高耐用性合理方法的开发。在这里,作者表明,最初包含两个不同FeNx位点(S1和S2)的Fe-N-C催化剂通过S1转变为氧化铁而降解,而S2的结构和数量未改变。从测试结束时的57Fe M?ssbauer光谱学得出的结构与活性之间的相关性表明,两个位点最初都起着氧还原反应活性的作用,但在运行50 h后仅S2起到了很大作用。从惰性气体中的原位57Fe M?ssbauer光谱学和不同电子状态下FeNx的M?ssbauer光谱的计算结果,作者确定S1为高自旋FeN4C12部分,S2为低自旋或中自旋FeN4C10部分。这些见解为采用合理的方法处理Fe-N-C阴极奠定了基础,并提高了在酸性燃料电池中的持久性。

催化周报:Nat. Catal.、Nat. Energy、Nat. Chem.等大合集!

原文链接:

https://www.nature.com/articles/s41929-020-00545-2

20. Adv. Funct. Mater.:V桥接的Co-O消除了水分解过程中的电荷转移壁垒并驱动晶格氧氧化

催化周报:Nat. Catal.、Nat. Energy、Nat. Chem.等大合集!

析氧反应(OER)和析氢反应(HER)在水分解生产清洁燃料的实际应用中起着重要作用。尽管一些低成本的金属氧化物对OER和HER具有催化活性,但电荷载流子迁移率低的本能缺点降低了反应动力学并阻碍了其应用。为了克服这个问题,该研究成功地构建了具有Co-O-V结构的Co-V氧化物,以通过自旋翻转跳跃过程消除了载流子传输过程中的能垒,可以将其涂覆在各种基底上以用于催化OER和HER。此外,Co-O键之间的V“桥”通过更有效的晶格氧氧化机制对OER产生激励作用,可以直接以更有效的途径形成O-O键。该策略可以推广到各种电极上的这类OER电催化剂的合理设计上,以降低成本。

催化周报:Nat. Catal.、Nat. Energy、Nat. Chem.等大合集!

原文链接:

https://onlinelibrary.wiley.com/doi/10.1002/adfm.202008822

21. ACS Energy Lett.:InP胶体量子点衍生催化剂在930 mA cm–2的部分电流密度下催化CO2电还原形成甲酸盐

催化周报:Nat. Catal.、Nat. Energy、Nat. Chem.等大合集!

该研究设计了一种使用InP胶体量子点(CQDs)合成的催化剂:封端配体交换引入了表面硫,而XPS揭示了具有硫保护的氧化铟和铟金属的活性催化剂的生成。表面的铟金属位点吸附并还原CO2分子,而硫的位点裂解水并提供质子。每个量子点的大量暴露的表面铟位点能够在低催化剂负载下实现较高的甲酸生产率。分电流密度为930 mA cm-2法拉第效率(FE)为93%,这是根据先前的技术经济分析得出的具有工业价值潜力的活性水平。该种纳米颗粒层在负电势下的高电导率使得能够维持反应的大电流密度。

催化周报:Nat. Catal.、Nat. Energy、Nat. Chem.等大合集!

原文链接:

https://doi.org/10.1021/acsenergylett.0c02165

22. ACS Catal.:光催化二氧化碳还原:从头算机理,动力学和多尺度建模仿真的综述

催化周报:Nat. Catal.、Nat. Energy、Nat. Chem.等大合集!

气候变化促使科学家们寻找减少二氧化碳排放甚至从大气中捕获二氧化碳的可能方法。有人提出将二氧化碳催化还原为增值化学品的建议。尽管从CO2生产CO,甲醇,甲烷和高级烃的热催化途径一直是大量研究工作的重点,但光催化转化是一种新兴的方法。由于可以在较低的温度和压力下进行,从而降低了能耗,因此CO2的光活化具有绿色工艺的潜力。

近年来计算能力的增强和相关工具使得有可能在计算机上研究反应以预测催化剂和阐明机理。因此,该综述将从头算原理研究光催化还原CO2并将其与实验进行比较。最常用的材料是各种掺杂的TiO2,g-C3N4和钙钛矿,它们本身具有良好的光学性能。它们的效率主要取决于带隙,电荷分离和电荷转移。它们的特性可以通过掺杂,引入缺陷(例如氧空位或几何效应),助催化剂或使用Z型催化剂来得到改善,并且可以针对特定用途设计催化剂。大多数理论研究都集中在导带和价带,带隙和吸附能的计算上。一些研究试图描述反应机理,很少有研究超出混合功能DFT方法的范围,并试图明确地模拟电子激发的影响。虽然用后DFT方法可以对激发态进行理论描述,但尚未将其应用于大规模的CO2光还原问题。此处以对当前最先进技术如何用于改进现有催化剂的前景进行总结。

催化周报:Nat. Catal.、Nat. Energy、Nat. Chem.等大合集!

原文链接:

https://doi.org/10.1021/acscatal.0c02557

蜀ICP备15013208号-3