我公司出售高质量的氨基酸液、氨基酸原粉、氨基酸微量元素、eddha铁、螯合铁等并支持肥料产品的定制,欢迎来电,免费索取样品!

  • 公司地址
    中国,四川,成都
  • 联系电话
    18681783931

混合氨基酸标准品(动物源性食品中有害化学物质及污染物的检测———苏丹红)

动物源性食品中有害化学物质及污染物的检测———苏丹红

苏丹红(sudandyes)又名油溶红、溶剂红,是一组人工合成的以苯基偶氮萘酚为主要基团的人工合成色素,1896年科学家达迪将其命名为苏丹红并沿用至今。由于成本低廉、颜色鲜艳、不易褪色,苏丹红被大量地应用在工业、化学和生物医学等领域,常作为工业染料被广泛用于如溶剂、油、蜡、汽油的增色以及鞋、地板的增光等方面,还用于诸如纺织品、纸张、皮革、食品、化妆品及焰火礼花的着色。自2003年法国首次在食品中发现苏丹红Ⅰ以来,检出苏丹红的食品安全事件时有发生,尤其是2006年发生的鸭饲料中添加苏丹红Ⅳ生产假冒“红心鸭蛋”事件再一次向人们敲响了警钟。本部分综述了苏丹红的理化性质、代谢、毒性、国内外限量要求以及残留检测的样品前处理、仪器测定方法等内容,以期为该类化合物的全面了解和残留检测提供参考。

1理化性质

苏丹红是一类人工合成的属于非离子型脂溶性偶氮类化合物,外观呈暗红色或深褐色片状晶体,主要包括Ⅰ、Ⅱ、Ⅲ和Ⅳ4种类型。

苏丹红Ⅰ~Ⅳ颜色逐渐加深,熔点逐渐升高,疏水性逐渐增强,溶解性非常相似。不溶于水,溶于氯仿、二氯甲烷、苯、乙腈、乙醇和甲醇等有机溶剂及脂肪中。紫外吸收光谱表明,4种苏丹红均分别在紫外区230nm和可见光区460~520nm处有最大吸收,其中230nm的吸收峰较强,属于带苯环化合物的E1吸收带。

苏丹红Ⅰ是一种人工合成的偶氮类、油溶性的化工染色剂,它通过苯胺在盐酸中与亚硝酸钠进行重氮化,然后与2-萘酚偶合而成。苏丹红Ⅱ、Ⅲ和Ⅳ为苏丹红Ⅰ的化学衍生物,苏丹红Ⅰ、Ⅱ为单偶氮染料,苏丹红Ⅲ、Ⅳ为双偶氮染料。它们的化学名称、分子式和结构式见表7-8和图7-17。

动物源性食品中有害化学物质及污染物的检测———苏丹红

动物源性食品中有害化学物质及污染物的检测———苏丹红

2代谢

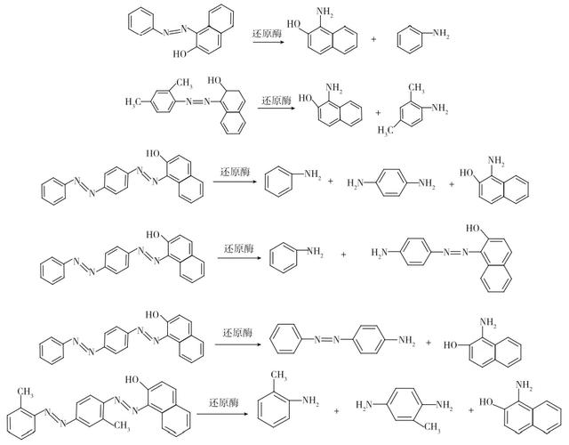
油溶性的苏丹红一旦被摄入人体,极易溶解在肌体组织中(如脂肪),由于不具水溶性,因而不会在消化和循环过程中随尿液排出体外。进入体内的苏丹红主要通过胃肠道微生物还原酶,肝和肝外组织微粒体及细胞质的细胞色素还原酶系(如细胞色素P450)以及过氧化氢-过氧化物酶体系进行代谢,也有报道前列腺素H合酶在花生四烯酸或过氧化氢条件下参与苏丹红的代谢活化。体内代谢过程如图7-18所示。

动物源性食品中有害化学物质及污染物的检测———苏丹红

动物源性食品中有害化学物质及污染物的检测———苏丹红

由于苏丹红的化学结构中含萘环和偶氮结构,苏丹红Ⅰ在体内可代谢为初级产物苯胺和1-氨基-2萘酚;苏丹红Ⅱ可代谢产生2,4-二甲基苯胺和1-氨基-2-萘酚;苏丹红Ⅲ可代谢成4-氨基偶氮苯、1-氨基-2-萘酚、苯胺、对-苯二胺和1-(4-氨基苯基)偶氮-2-萘酚;苏丹红Ⅳ可代谢成邻氨基偶氮甲苯、1-(4-氨基-2-甲基苯基)偶氮-氨基-2-萘酚、2,5-二氨基甲苯、1-氨基-2-萘酚和邻甲苯胺。

目前,对苏丹红代谢机理的研究还不是很多。范晓丽等采用LC-MS/Q-TOF技术并结合代谢组学分析策略,对喂食日粮中含苏丹红Ⅳ(0mg/kg、100mg/kg、150mg/kg、200mg/kg)的鸡蛋进行代谢组学研究。结果表明,苏丹红Ⅳ在鸡日粮中添加浓度为100mg/kg时就足以引起鸡蛋中某些内源性代谢物发生变化,其中27种内源性代谢物发生了显著变化(浓度增长了2倍以上或至少降低了50%),无论在正离子源模式还是负离子源模式的初步鉴定结果中,酸类、醇类物质发生显著变化的数量居多,还有一些氨基酸也发生了显著变化,说明蛋鸡日粮中苏丹红Ⅳ的添加对鸡蛋中内源性代谢物发生显著变化起了关键作用,并影响了蛋鸡的代谢。

3毒性

苏丹红是化学合成染料,不允许用于食品加工,目前尚无对人类致癌的直接证据。在多项体外致突变试验和动物致癌试验中,研究者发现苏丹红的致突变性和致癌性与代谢生成的胺类及酚类物质有关。苯胺在体内外均具有遗传毒性,被IARC列为三类致癌物。萘酚的理化性质决定了其能致癌、致畸、致敏、致突变的潜在毒性,对肝脏、眼、皮肤、黏膜均具有强烈的生理刺激作用;而如果吸收的苯胺过量则可引起出血性肾炎。

3.1致癌作用

IARC将苏丹红Ⅰ归为三类致癌物,即动物致癌物,主要基于体外和动物试验的研究结果,尚不能确定对人类有致癌作用。肝脏是苏丹红Ⅰ产生致癌性的主要靶器官,此外还可引起小鼠、大鼠、家兔的膀胱、脾脏等脏器肿瘤。同时小鼠白血病和淋巴瘤发生率也明显增加。还有研究发现,在动物膀胱内植入含有苏丹红Ⅱ的固体石蜡,有2/3的动物发生膀胱肿瘤。

抑制细胞间信息传导是化合物促癌活性之一,V79细胞代谢协作试验结果显示,苏丹红Ⅰ能抑制细胞间信息传导活性,其作用比石胆酸更强,而石胆酸是已知的促癌物。国内研究者也在这方面进行了一些探索。胡晓露等利用基因芯片技术研究苏丹红Ⅰ对外周血淋巴细胞基因表达谱的作用,结果表明苏丹红Ⅰ可引起淋巴细胞基因表达谱的变化,其中对肿瘤相关基因表达有影响,提示苏丹红Ⅰ有诱发肿瘤的倾向。季宇彬等研究苏丹红Ⅰ、Ⅲ和Ⅳ对人肝癌细胞HepG-2和胃癌细胞SGC-7901增殖的影响,发现经苏丹红Ⅰ、Ⅲ和Ⅳ处理的细胞形态似上皮细胞样,细胞间相互连接,密集生长且细胞体积变大,不同剂量作用于人肝癌细胞HepG-2和胃癌细胞SGC-7901后,DNA/RNA之比有所增加,表现为促进癌细胞生长作用,同时苏丹红还能通过影响细胞周期,调节细胞的增殖活动,促进细胞分化增殖。

细胞色素P450酶系是致癌物代谢活化的重要酶系之一,主要参与外来化合物进入体内后的第一阶段激活反应,其活性的提高能大大提高外源物质对机体的毒害作用。

IARC将苏丹红Ⅱ和其代谢产物甲基苯胺均列为三类致癌物,尚没有对人致癌作用的证据。动物试验结果显示,给予小鼠2,4-二甲基苯胺,高剂量(30mg/kg)组雌性小鼠肺癌发生率较对照组显著升高。

IARC将苏丹红Ⅲ列为三类致癌物,但将其初级代谢产物4-氨基偶氮苯列为二类致癌物,即对人可能致癌物。动物试验显示,给予大鼠4-氨基偶氮苯104周,剂量为80~400mg/kg时,大鼠肝癌发生率明显升高。

IARC将苏丹红Ⅳ列为三类致癌物,但将其初级代谢产物邻甲苯胺和邻氨基偶氮甲苯均列为二类致癌物,即对人可能致癌物。动物试验显示,给予犬20mg/kg的邻氨基偶氮甲苯8周,试验犬全部死亡,给予犬5mg/kg邻氨基偶氮甲苯30个月,4只犬中有2只发现了膀胱癌;给予大鼠150mg/kg邻甲苯胺100~104周,在多器官中肉瘤、纤维肉瘤、骨肉瘤发生率显著增加。

3.2遗传毒性

Garner和Nutman进行Ames试验研究显示,苏丹红Ⅰ在S-9存在的条件下,对沙门氏菌具有致突变作用;对小鼠淋巴瘤L5178YTK+/-细胞具有致突变作用;大鼠骨髓微核试验呈阳性;Stiborova研究小组进行的一系列试验表明,其C端羟基化代谢产物可以与DNA反应。苏丹红Ⅰ可增加中国仓鼠卵巢(CHO)细胞姐妹染色单体交换。彗星试验表明苏丹红Ⅰ可引起小鼠胃和结肠细胞的DNA断裂。杨炀研究发现,苏丹红Ⅳ对大鳞副泥鳅和泥鳅红细胞微核及核异常的形成具有一定的影响。大鳞副泥鳅和泥鳅在长期食用苏丹红Ⅳ后,体内造血系统的干细胞部分有丝分裂发生了异常现象,细胞染色体发生断裂,断片残留于细胞质中成为微核,而且还出现多种核异常现象。安玉等研究了苏丹红Ⅰ对HepG-2细胞的遗传毒性及氧化性DNA损伤。结果表明,苏丹红Ⅰ可引起细胞DNA和染色体损伤,对HepG-2细胞具有遗传毒性。在较高浓度下,苏丹红Ⅰ可诱发HepG-2细胞内活性氧(ROS)水平增高,脂质过氧化产物硫代巴比妥酸反应物(TBARS)生成增多及氧化性DNA损伤的标志性产物8-羟化脱氧鸟苷(8-OhdG)的表达明显升高。

3.3氧化作用

苏丹红的初级产物苯胺在酶的作用下会产生硝基苯类衍生物,这些代谢物具有氧化性,能导致血红蛋白的Fe2+被氧化为Fe3+,从而使血红蛋白失去结合氧的能力,从而导致人患上高铁血红蛋白症。学术研究表明,人体每日多次摄入0.4mg/kg苯胺类化合物或者代谢产物,均可引起血红蛋白毒性。

3.4致敏作用

和其他许多偶氮染料一样,苏丹红对皮肤有致敏作用。苏丹红Ⅰ在体外与豚鼠肝匀浆(S-9)上清共孵后形成的代谢产物可引起苏丹红Ⅰ致敏豚鼠皮肤的阳性反应,提示苏丹红Ⅰ苯基团的羟基化可能在苏丹红Ⅰ致皮肤过敏的发病机理中起重要作用。豚鼠试验发现,苏丹红Ⅲ异构体引起皮肤过敏反应的阳性率达30%,而苏丹红Ⅲ本身不引起皮肤过敏,但能引起对-苯二胺致敏后的豚鼠皮肤出现阳性过敏反应。苏丹红Ⅰ还可引起人体皮炎。有报道称,有人因涂抹印度妇女习惯使用的一种点在前额的“Kumkums”牌化妆品而引发过敏性接触性皮炎。通过GC分析,7个“Kumkums”品牌中有3个可检测到不同浓度的苏丹红Ⅰ。

4国内外限量要求

2003年5月,法国首先在一批来自印度的红辣椒粉制品中发现了苏丹红Ⅰ,8月以后,污染源扩大到苏丹红Ⅱ、Ⅲ和Ⅳ。2005年1月,英国第一食品公司也在进口食品中发现了潜在致癌物苏丹红Ⅰ,向消费者和贸易机构发出了警示,并做了禁用苏丹红的规定,引发了全球的“苏丹红风波”。我国自2005年3月也相继在辣椒调味品、鸡蛋及唇膏等产品中检出了苏丹红,并于同年发出了禁止将苏丹红作为食品添加剂的规定。

5样品前处理技术

虽然苏丹红在有关蛋类等动物源性食品中的残留检测方法也有报道,但相关文献资料更多的是针对辣椒和番茄制品等样品,因此在本部分样品处理及后续的检测技术等内容中均有叙述,为动物源性食品中苏丹红染料的残留检测提供参考。

因苏丹红具有非离子性脂溶物的特点,样品提取、纯化、富集非常困难,采用好的提取溶剂往往造成提取液中混入大量的干扰成分,若考虑低残留量进行富集往往首先浓缩的是样品的内源性物质,结果使得干扰更为严重。因此,在对食品中苏丹红含量进行测定时,需要通过提取、纯化和浓缩等预处理过程,以去除杂质、减少检测时的干扰,同时应避免和减少杂质对检测仪器的污染和损伤,并对样品中痕量苏丹红进行富集。

5.1提取

有机溶剂提取是最常用的样品处理方法,根据苏丹红染料的脂溶性特点,常用的有机溶剂为乙腈、乙醇、甲醇、三氯甲烷、正己烷、环己烷、丙酮、石油醚等,或采用不同比例的混合溶剂,利用溶剂实现选择性浸提而达到最佳提取效率。

对于含油脂少的样品,乙腈对苏丹红的提取效率优于其他提取溶剂。李军等研究认为,正己烷、丙酮、乙酸乙酯、乙腈均对苏丹红有较好的溶解性,但前三者均具有不同程度的脂溶性,采用乙腈提取油脂少的样品更为合适。陈蔷等比较了甲醇、正己烷、丙酮、正己烷-丙酮、三氯甲烷和乙腈对鸡蛋中苏丹红超声或振荡提取的效果,确定用乙腈提取样品,不用SPE净化而直接浓缩上机,分离效果好,未见明显干扰(图7-19、图7-20)。李平等研究认为,同一样品在同一提取条件下,苏丹红在甲醇与乙腈提取液中的出峰位置重合,但甲醇提取液的杂质峰较多,且对苏丹红的提取效率不如乙腈高。陈美娟比较了氯仿、乙腈、甲醇等不同溶剂对苏丹红样品的提取效果,发现油脂成分在氯仿中的溶解度太大,使提取液中油脂成分过多,而甲醇的萃取效率要明显低于乙腈。杨强等比较乙酸乙酯与乙腈的提取液,发现乙酸乙酯作为提取溶剂时提取油脂过多,需进一步净化除去杂质,才能供HPLC进样测定,而乙腈提取的杂质较少。黄晓兰等比较了乙腈、甲醇、氯仿、正己烷4种提取溶剂,结果表明,乙腈的提取效果最好。吴银良等也通过对常用的提取溶剂比较后确定乙腈为提取溶剂,并对提取条件进行优化,通过添加10g无水硫酸钠来提高回收率,在40μg/kg、80μg/kg和200μg/kg 3个添加浓度水平下添加回收率为85.3%~96.6%,RSD在1.8%~5.2%。

动物源性食品中有害化学物质及污染物的检测———苏丹红

动物源性食品中有害化学物质及污染物的检测———苏丹红

但对于含油脂多的样品,乙腈对样品中苏丹红的萃取效率不高。陈美娟的试验结果表明,对于油状样品,乙腈提取时会出现块状物,而改用乙腈-三氯甲烷(3∶2,V/V)混合溶剂提取可避免此类现象产生。

在使用有机溶剂提取的基础上,一些辅助萃取手段也应用于样品提取中,如超声波辅助萃取(UAE)、微波辅助萃取等,能够加速目标成分进入溶剂,促进提取的进行,使萃取或浸出速度提高2~10倍,显著提高萃取效率。

罗美中等将含油脂少的一般样品混匀,加入乙腈后超声振荡20min提取,用HPLC法测定,各种样品的加标回收率均在93%以上,精密度为2.3%~6.4%。苏小川等探讨了调味品辣椒粉和腌料中苏丹红Ⅰ的分析方法。样品加入正己烷超声萃取2次,提取液用GC-MS检测,方法的加标回收率在94.5%以上。

此外,杜振霞等还利用加水反沉淀蛋黄中的油脂并在低温冷冻下促使油脂析出的特性,结合有机溶剂的提取,解决了使用乙腈提取液直接上机测试容易造成基质干扰和色谱柱堵塞等问题,成功地建立了UPLC-MS/MS分析咸鸭蛋黄中苏丹红Ⅰ~Ⅳ染料的方法(图7-21)。韩劲松等采用有机酸提取苏丹红,对样品进行抽提和净化,较好地解决了欧盟法采用甲醇提取易对色谱柱和检测器造成污染的缺点,以及国标法采用氧化铝柱净化耗时较长、操作有一定难度的缺点,并且通过液-液分离纯化较好地解决了难抽提样品的提取问题。

动物源性食品中有害化学物质及污染物的检测———苏丹红

5.2净化

目前,用于苏丹红提取液的净化方法有固相萃取、凝胶渗透色谱、基质固相分散、分子印迹聚合物、免疫亲和色谱法等。

5.2.1固相萃取

固相萃取(SPE)是目前在苏丹红分析中常用的一种净化手段,SPE处理过程中不使用大量互不相溶的溶剂,不产生乳化现象,提高了方法的回收率,重现性好。目前,中性氧化铝层析柱是常用的SPE小柱,其原理是基于中性氧化铝对苏丹红染料有很特异的吸附解析特点以及苏丹红的极性与天然色素、油脂的极性差异。

利用中性氧化铝层析柱过滤可除去样品中的大部分杂质,在保证好氧化铝活度时,苏丹红系列染料吸附解析率可达到100%,因此纯化后的样品在分析条件下无任何杂峰干扰,且能缩短HPLC对样品的分析时间。目前苏丹红检测的国家标准就采用了氧化铝柱层析法来净化提取液,有利于去除干扰,提高定性准确度,保护分析柱,增加柱寿命,检出限数值比欧盟标准低了2个数量级(10μg/kg),并且此方法获得了很高的准确度和回收率。但国家标准中的样品处理方法只适用于辣椒粉等粉状样品,此方法在处理其他样品如肉类、含水量较大样品、油状样品时并不十分理想,当处理方法进行到过氧化铝层析柱时,在固体氧化铝顶端会出现水层及油层,从而使过滤无法正常进行。关尔渤等对肉制品或油状样品中苏丹红Ⅰ的处理方法进行了改良,称样后加入60mL正己烷充分匀浆10min,超声30min,滤出上清液,再以20mL正己烷匀浆、过滤2次。合并3次滤液,加入5g无水硫酸钠脱水,过滤后于旋转蒸发仪上蒸至5mL以下,然后过氧化铝层析柱,解决了国家标准方法中无法正常过柱的问题。

由于氧化铝层析柱活性过高或过低都会影响方法回收率,而不同厂家和不同批次的氧化铝的活度差异较大,因而用氧化铝层析柱纯化苏丹红样品前,不仅需对不同批次的氧化铝层析柱进行评估和调整,而且需对氧化铝进行干燥处理,在确保净化效果的情况下尽量减少待测物的损失,提高方法的回收率。关尔渤等将氧化铝经105℃干燥2h以上,并于干燥器中冷至室温,按比例每100g中加入2mL水降活,混匀后密封,放置12h后使用,通过加样回收率试验,取得了令人满意的结果。

此外,李吉平等用FlorisilSPE柱对样品进行净化的方法也获得了较高的样品回收率。

5.2.2凝胶渗透色谱

凝胶渗透色谱(GPC)是基于尺寸排阻的分离原理,利用样品中各组分分子大小不同,从而在凝胶中滞留时间不同而达到分离的目的。用GPC对样品进行净化分离时,油脂等大分子物质首先流出,随后是小分子物质,而且淋洗溶剂的极性对分离的影响并不起决定作用,特别适合净化含脂和色素的样品。尤其是基质比较复杂时,GPC更有优势,其色谱柱可以连续使用几个月而不影响柱效。另外,GPC还具有自动化程度高以及较好回收率等优点。GPC凝胶有不同孔径,目前多采用XAD系列凝胶,以不同配比的环己烷和乙酸乙酯作为洗脱剂。在苏丹红含量测定中,利用GPC能有效地去除样品中的大分子油脂和天然色素,尤其适用于净化含类脂的复杂样品。

吴宁鹏等建立了一种简单、实用的鸡蛋中苏丹红Ⅰ、Ⅱ、Ⅲ、Ⅳ残留的GPC-UPLC检测方法。结果表明,采用GPC进行净化,样品洁净无杂质峰,净化效果好。在空白鸡蛋中添加50~1 000μg/kg浓度下,4种苏丹红的平均回收率为65%~85%,批内变异系数为1.0%~4.8%,批间变异系数为2.1%~5.9%。梁高道等用正己烷萃取,用GPC处理样品,去除样品中的大分子油脂和大分子天然色素,最后用HPLC-紫外法检测食品样品中的苏丹红。谢维平等建立了凝胶柱净化-HPLC同时检测食品中苏丹红Ⅰ、Ⅱ、Ⅲ和Ⅳ的方法。样品用乙醇提取,提取液经凝胶柱净化,用环己烷-乙酸乙酯(1∶1,V/V)洗脱。结果表明经净化的样品即使目标组分浓度很低,仍能得到较好信噪比的HPLC图,而未经净化的则难以从干扰峰中辨别出苏丹红。该方法的检测限为7~14μg/kg,平均加标回收率为80.7%~96.3%,相对标准偏差为2.4%~5.9%。

5.2.3基质固相分散

基质固相分散(MSPD)的特点是简化了许多传统复杂的样品前处理,不需要进行组织匀浆、沉淀、离心、pH调节和样品转移等操作步骤,最大限度地避免了被测残留物的流失,提取完全,技术装备费用低、操作简单、易于推广应用。

刘宏程等建立了辣椒油中苏丹红Ⅰ~Ⅳ残留分析的HPLC法。样品通过MSPD快速萃取净化,用Novapak C18色谱柱(3..9mm×250mm,5μm)进行分离,用双波长紫外/可见检测器进行检测,波长为478nm和520nm,对于阳性样品通过双柱进行确证,回收率为80.8%~91.9%,相对标准偏差为2.1%~6.0%,检测限为0.5ng/g。

5.2.4分子印迹聚合物

分子印迹聚合物是一类人工合成的具有特异性识别和选择性吸附目标分子及其结构类似物的聚合物,被广泛应用于催化剂、传感器、药物载体、人工抗体、HPLC、SPE和固相微萃取中。其优点是分子印迹聚合物没有活性,重复利用次数多,缺点是特异性不够高。通过分子印迹技术制备的分子印迹聚合物为复杂样品中苏丹红的净化提供了一条新途径。

Zhao Chuande等分别以苏丹红Ⅰ为模板、2-巯基吡啶为功能单体、乙二醇二甲基丙烯酸酯为交联剂,用硅镁土作为基质合成新的分子印迹聚合物。通过红外光谱和透射电子显微镜监控该聚合物,并在对苏丹红的选择性试验中,分子印迹聚合物对苏丹红Ⅰ、Ⅱ、Ⅲ和Ⅳ的识别系数分别为2.9、1.9、1.9和2.3,建立了检测苏丹红的分析方法,对黄河水、番茄酱和香肠中苏丹红的检测限范围分别为0.01~0.05ng/mL、1.0~3.0ng/g、0.8~3.0ng/g。

戴晴等以苏丹红Ⅰ为模板分子,通过沉淀聚合法制备了一种对苏丹红Ⅰ具有特异性吸附的分子印迹聚合物,具体制备过程:将0.5mmol苏丹红Ⅰ和6mmol甲基丙烯酸溶于40mL乙腈和甲醇混合液(1∶3,V/V)中,加入3.5mL三羟甲基丙烷三甲基丙烯酸酯(TRM)和40mg偶氮二异丁腈(AIBN)。将该溶液超声脱气10min,用封口膜封口后,在55℃下搅拌,热引发聚合24h。然后用滤纸过滤,以甲醇和乙酸混合液(9∶1,V/V)索氏萃取48h后,再用甲醇洗涤12h以洗去残留的乙酸,真空干燥至恒重。通过试验评价了致孔剂的选择和用量、功能单体和模板分子的物质的量比对分子印迹聚合物识别性能的影响,确定以甲醇和乙腈混合液(30∶10,V/V)为致孔剂、甲基丙烯酸为功能单体,且功能单体和模板分子的物质的量比为8∶1时,分子印迹聚合物的印迹因子为2.32,亲和位点总数为0.50μmol/g,将此分子印迹聚合物作为SPE柱填料用于辣椒粉样品中痕量苏丹红Ⅰ的净化和富集,结果苏丹红Ⅰ浓度为10~500mol/L时,呈现良好的线性关系(R=0.999),检出限为3.3μmol/L,加标回收率为95.87%~98.41%,相对标准偏差低于3.1%。

潘卫东以苏丹红Ⅰ为印迹分子、甲基丙烯酸为功能单体、季戊四醇三丙烯酸酯为交联剂、偶氮二异丁腈为引发剂,制备了苏丹红Ⅰ的分子印迹聚合物,并利用静态平衡法和斯卡查德(Scatchard)分析法研究了印迹聚合物和非印迹聚合物对苏丹红Ⅰ选择吸附性能,发现该印迹聚合物对苏丹红Ⅰ具有很好的特异性结合能力。郑红等以苏丹红Ⅲ为印迹分子、丙烯酰胺为功能单体、乙二醇二甲基丙烯酸酯为交联剂,制备了苏丹红Ⅲ的印迹聚合物,并利用静态平衡法和Scatchard分析法研究了此类印迹聚合物的结合能力和选择性,其结果表明,该印迹聚合物对苏丹红Ⅲ有较好的选择性。

5.2.5免疫亲和色谱

免疫亲和色谱(IAC)是20世纪90年代在分析领域得到应用的一种新技术,是以抗原和抗体中的一方作为配基固定在活化好的载体上,制成免疫亲和吸附介质,然后装柱形成一种净化柱。其能高效选择性分离、纯化和浓缩复杂体系中微量成分,纯化步骤简单,纯化效果好。

朱立鑫首次采用环氧氯丙烷活化琼脂糖凝胶4FF(Sepharose 4FF),通过ε-氨基己酸修饰,获得免疫亲和基质,并与抗苏丹红Ⅰ单克隆抗体偶联,制备苏丹红ⅠIAC柱,同时建立了IAC柱联合HPLC法,检测辣椒粉加标样品中的苏丹红Ⅰ。该方法样品平均回收率为44.52%~77.40%,相对标准偏差为4.6%~8.3%,最低检出限为125ng/mL。

6检测方法

目前国内外对苏丹红残留的检测主要有薄层色谱法(TLC)、HPLC、HPLC-MS、GC-MS、GPC-LC、极谱法等。

6.1 TLC

TLC是在柱色谱和纸色谱基础上发展起来的分析方法,具有操作简单、成本低、分离效率高的特点,易于普及。主要包括制板、点样、展开、显色和定性定量分析等步骤。

在苏丹红含量测定中,薄板和展开剂的选择在TLC测定中均起着关键作用,主要是两者对样品中的苏丹红分离效果有重要的影响。其中硅胶、氧化铝、聚酰胺等吸附剂因吸附性能良好得到了较好的应用。

窦红等对高效硅胶G板及聚酰胺薄层板分离苏丹红的结果进行比较,发现高效硅胶G板较聚酰胺薄层板分离苏丹红更具优势,分析速度更快,检测灵敏度为0.3mg/kg,分离效果好。王鲜俊等建立了快速分离苏丹红Ⅰ~Ⅳ的TLC,用乙腈-氯仿混合提取辣椒面中的苏丹红,用TLC展开、分离,逐一准确定性苏丹红Ⅰ~Ⅳ,再利用苏丹红Ⅰ~Ⅳ特有的最大吸收波长不同,用比色法定量。回收率为81.9%~95.5%,精密度RSD为4.5%~5.7%,检出限为0.19~0.58μg。比较展开剂甲醇-丙酮-乙酸在硅胶G板、聚酰胺薄层板、硝酸盐-硅胶G板上对苏丹红Ⅰ的展开效果,利用聚酰胺薄层板、甲醇-石油醚-乙酸(3∶1∶1,V/V)做第1次分离,利用硅胶G板、三氯甲烷-石油醚-乙酸(15∶5∶0.1,V/V)2次展开,实现苏丹红Ⅰ~Ⅳ的逐一完全分离,获得了清晰、满意的TLC分离。庞艳玲等用HSG硅胶板,正己烷-乙酸乙酯(100∶0.5,V/V)一次性分离苏丹红,避免了2次展开造成的回收率损失,展开既稳定又迅速,并以紫外可见光光度法进行检测,检测苏丹红Ⅰ~Ⅳ的线性范围分别为0.5~14μg/mL、0.5~10μg/mL、0.5~15μg/mL、0.5~15μg/mL,线性相关系数均为0.999,检出限均为0.05μg/mL。杨林飞等使用正己烷萃取样品、经氧化铝层析柱净化,在硅胶板上展开,紫外灯下显色,将样品与标准品比较,根据斑点Rf值和斑点的大小进行定性和定量,检测了淹鱼块中的苏丹红Ⅰ~Ⅳ,检出限为2μg,回收率为93.2%~95.0%。

6.2 HPLC

由于苏丹红分子中的共轭结构有紫外吸收,因此可以采用HPLC-UV或HPLC-PAD检测。HPLC是目前测定苏丹红最常用的方法,也是欧盟委员会推荐和我国国家标准中使用的方法。

在检测样品中苏丹红时,可根据具体的方法、仪器、试剂等选择合适的波长进行检测。Zhang等在波长200~800nm对苏丹红染料进行紫外扫描,发现苏丹红染料在200~260nm处有最大吸收峰,在450~500nm处也有较大吸收峰。为防止样品溶剂和流动相的吸收峰可能产生的干扰,选择476nm作为最适检测波长。李军等也发现,苏丹红Ⅰ~Ⅳ的最大吸收峰依次在227nm、205nm、227nm、201nm处,第二大吸收峰依次在478nm、491nm、504nm、517nm处,而在低波长200nm处左右干扰较多,选择500nm作为检测波长,并证实在此波长下基本无干扰。甘宾滨等通过对苏丹红Ⅰ~Ⅳ标准品在波长190~800nm处进行扫描,结果表明,苏丹红Ⅰ~Ⅳ的最大吸收波长依次为480nm、498nm、503nm和520nm,并选用478nm作为检测波长。王凤池等利用二极管陈列检测器(DAD)对苏丹红Ⅰ~Ⅳ进行全波长扫描,确定其最大吸收波长依次为479nm、496nm、505nm和517nm,并选用500nm作为检测波长,可同时满足4种物质检测要求。骆和东等将苏丹红各标准溶液进样后在全光谱范围内逐点光谱扫描,利用得到的三维谱图计算出苏丹红Ⅰ~Ⅳ的最大吸收波长依次为506nm、478nm、492nm和518nm。金海涛等利用DAD能够采集化合物的紫外吸收光谱曲线的特点,整合出苏丹红Ⅰ~Ⅳ的等吸收曲线,得出苏丹红Ⅰ~Ⅳ在紫外区的最大吸收波长分别为478nm、520nm、520nm、520nm。国家标准和欧盟委员会使用的检测波长均为苏丹红Ⅰ478nm,苏丹红Ⅱ~Ⅳ520nm。图7-22为苏丹红Ⅰ~Ⅳ光谱图。

动物源性食品中有害化学物质及污染物的检测———苏丹红

目前,HPLC中使用的流动相主要有乙腈-甲酸、乙腈-甲酸-丙酮、甲醇-甲酸等。Zhang等选用乙腈-0.1%甲酸水溶液(80∶20,V/V)作为流动相,能在40min内对苏丹红Ⅰ~Ⅳ进行很好的分离、测定。吴敏等选择0.1%甲酸水溶液和0.1%甲酸-乙腈溶液做流动相,进行梯度洗脱,有效避开了天然辣椒色素的干扰。杨建荣等认为苏丹红Ⅰ分子结构上的偶氮键可表现为弱碱性,在低pH时,偶氮键的氮原子可吸收少量质子H+,增强分子极性,洗脱加快,但洗脱液pH在2~4.5时,pH变化对分子极性影响不大,而pH在4.0~6.0时,分子极性随pH变化非常明显。并考察了联苯胺、苏丹红Ⅲ、偶氮蓝、丽春红4R4种偶氮染料对苏丹红Ⅰ色谱分离的干扰,发现以pH为2.65的冰乙酸水溶液和乙腈为流动相进行线性梯度洗脱,可获得很好的分离效果。余孔捷等分别以4%氨水-甲醇溶液、甲醇-水溶液与乙腈-水溶液为流动相进行试验,结果表明,在适当的体积比下,三者均可将苏丹红Ⅰ~Ⅳ完全分开,但采用乙腈-水(93∶7,V/V)为流动相,其灵敏度与分离效果更好。国家标准方法中流动相选用的溶剂乙腈、丙酮易挥发、毒性较大,王艳春采用0.1%甲酸的甲醇溶液作为流动相,不用梯度洗脱,获得了与国家标准方法相似的准确度与精密度。图7-23为苏丹红混合标准溶液色谱图。

动物源性食品中有害化学物质及污染物的检测———苏丹红

6.3 HPLC-MS

HPLC-MS是在HPLC的基础上发展起来的分析食品中的苏丹红的方法。由于实际检测的样品组分复杂,通过LC后,杂质峰干扰较严重,会导致色谱峰重叠,而产生假阳性结果,因此通过HPLC-MS或HPLC-MS/MS可以进一步确证苏丹红的存在。

目前,LC-MS对食品中苏丹红的检测主要集中在流动相及检测器的选择上。陈焕文等通过试验发现,碱性溶液如氨水和碱性甲醇-水-氨混合溶液对苏丹红的信号(m/z 249)有较强的抑制作用;酸性甲醇-水-乙酸(49∶49∶2,V/V)溶液对苏丹红的信号具有较大的增强作用,且乙酸含量在1%~5%的范围内对信号的强度影响基本一致,并用甲醇-水-乙酸(49∶49∶2,V/V)混合溶液作为喷雾溶剂,在不需要样品预处理的情况下,成功地测定了火腿肠、鸡蛋饼等食品中苏丹红残留。杨强等也发现,酸性流动相体系乙腈-水(含0.1%甲酸,V/V)能很好地提高仪器信号的灵敏度,可使检测限下降50%~80%。冯家力等用乙腈将样品提取过滤后,直接用95%乙腈-5%水(含0.1%甲酸)为流动相进行反相LC分离,用电喷雾正离子源进行离子化,用SRM对这4种物质各自的母离子(m/z 249、277、353、381)及其4对子离子(m/z 232和93、121和106、197和92、225和106)进行监测,三级四级质谱测定,7min内可完成分离,且方法抗干扰能力强。喻凌寒等用LC-MS研究了食品中苏丹红的检测方法,用乙腈提取后直接进样,采用正离子电离方式,每种化合物选择3个碎片离子为定性离子以获得高选择性,选取每个化合物丰度最高的碎片为定量离子,获得了较高的灵敏度。

杜振霞等建立了用UPLC-MS/MS分析咸鸭蛋黄中苏丹红Ⅰ~Ⅳ的方法。为提高LC-MS检测的灵敏度,进行了MS条件优化,研究4种物质的[M+H]+峰强度与锥孔电压的关系(图7-24),确定了4种物质的最佳锥孔电压均为35V。

动物源性食品中有害化学物质及污染物的检测———苏丹红

在选定的锥孔电压下,对苏丹红Ⅰ~Ⅳ分别进行子离子扫描,优化碰撞能量等参数,其子离子扫描质谱图及主要碎片裂解机理如图7-25至图7-28所示。每种物质各选择2个响应较强的碎片离子作为MRM的子离子,选择其中MRM色谱图峰形好、响应值高的1个离子对用于定量计算,数据见表7-9。

动物源性食品中有害化学物质及污染物的检测———苏丹红

动物源性食品中有害化学物质及污染物的检测———苏丹红

动物源性食品中有害化学物质及污染物的检测———苏丹红

动物源性食品中有害化学物质及污染物的检测———苏丹红

动物源性食品中有害化学物质及污染物的检测———苏丹红

由于苏丹红分子结构中含有偶氮基团,在水相流动相中加入甲酸防止色谱峰拖尾并提高电离效率,通过采用不同的添加比例,最后选定乙腈-水(含0.2%甲酸)溶液作为流动相体系。苏丹红Ⅰ~Ⅳ在该流动相体系下,经UPLC分离、MRM模式检测,出峰时间在3min之内完成,其保留时间依次为0.86min、1.31min、1.68min、2.85min,其中0.8min和1.05min出现的小峰分别为Ⅲ、Ⅳ的同分异构体,图7-29是4种物质混合标准品MRM色谱图。样品使用乙腈萃取、浓缩、定容、过滤后测试,4种物质在1~50ng/mL内线性关系良好,回收率为50.2%~101.3%,RSD<17.5%。

动物源性食品中有害化学物质及污染物的检测———苏丹红

6.4 GC及GC-MS

苏丹红染料沸点高,难以汽化,一般认为不能用GC法测定,并且食品基质的化学成分复杂,化合物极性较大,而极性柱不耐高温,故有关苏丹红的GC-MS的报道不多。

吴惠琴等将样品中的苏丹红Ⅰ用乙腈提取后,用GC-MS/SIM,选择m/z 77、115、143、248离子用于SIM检测,根据所选的4个离子的流出色谱峰面积比进行目标物确证,选择分子离子峰定量,取得了很好的效果。苏丹红Ⅰ的线性范围为0.01~10mg/L,相对标准偏差小于6.1%,回收率为85%~90%,检出限为1μg/kg。与欧盟标准方法相比,该法灵敏度高10~100倍,分析时间缩短,且采用保留时间与质谱同时定性,消除了食品中复杂基质的干扰,提高了可靠性,适用范围扩展到所有食品及原料的分析。

黄晓兰等研究利用耐高温、低流失的弱极性高效毛细管柱,采用GC-MS-SIM建立了准确可靠、灵敏度高、快速简便的同时测定食品中苏丹红Ⅰ~Ⅳ的新方法,线性范围分别为0.01~10mg/L(Ⅰ、Ⅱ)和0.1~10mg/L(Ⅲ、Ⅳ),检出限为1μg/kg(Ⅰ、Ⅱ)、5μg/kg和10μg/kg,回收率为86%~95%,该法与欧盟标准方法相比灵敏度高1~2个数量级,分析时间缩短,用色谱保留时间、质谱同时定性,消除了食品中杂质的干扰,结果准确可靠,选择性和重复性好,适用于所有食品成品及原料的检验。

苏小川等采用GC-MS/SIM测定了食品中苏丹红Ⅰ、Ⅱ,试验选用了毒性较低、价格相对便宜的正己烷作为提取剂,对加标样品采用直接萃取和氧化铝柱净化两种处理方法。结果显示,前者回收率为85.5%~95.4%,后者为80.0%~88.1%。

李东刚等建立了用离子阱GC-MS-MS法定性定量检测食品中苏丹红Ⅰ染料的方法。结果表明,苏丹红Ⅰ在0.045~0.90mg/L浓度范围内呈线性关系,检测限为4.5μg/kg,回收率为83.1%~103.2%。

刘永波等也研究了苏丹红Ⅰ的GC-MS,试验中采用超声波提取样品,采用SIM方式,根据保留时间和特征离子丰度进行确证,在13min内可快速检测苏丹红Ⅰ残留。该法消除了基质干扰带来的假阳性,与LC相比,时间短、精密度和准确度高,易确证,适用于食品中苏丹红Ⅰ残留的检测。

6.5 ELISA

ELISA是建立在抗原与抗体高度特异性结合及抗原或抗体的酶标记基础上,对样品纯度要求不高,适于大批量样品的检测,但容易产生假阳性,且费用较高。

Chunmei等利用羧基化苏丹红偶联BSA为免疫抗原,免疫小鼠并获得了对苏丹红Ⅰ和Ⅲ高特异性的单克隆抗体。在磷酸盐缓冲液和辣椒酱中的检测限分别为0.01ng/mL和0.5ng/g,回收率为84%~99%,变异系数为14.9%~33.3%。Xu等通过化学方法合成苏丹红Ⅰ免疫抗原、包被抗原并制备了多克隆抗体。竞争性ELISA表明其IC50为1.6ng/mL,检测限为0.03ng/mL,检测线性范围为0.1~14ng/mL,与对位红和其他结构类似物的交叉反应率为13%。韩丹等建立了测定番茄酱和辣椒面中苏丹红Ⅰ含量的间接竞争ELISA法。首先对苏丹红Ⅰ分子做修饰,再与载体蛋白交联制得免疫抗原和包被抗原,经动物免疫制得抗苏丹红Ⅰ的抗体;然后建立间接竞争ELISA检测样品中的苏丹红Ⅰ,样品仅需甲醇萃取再用缓冲液简单稀释即可进行ELISA测定,方法检出限为0.12μg/L,回收率为106%~110%。

ELISA对于样品中苏丹红的快速筛选具有一定的优势,但也不可避免地存在着一些缺陷,如对试剂选择性高,对结构类似的化合物有一定程度的交叉反应等,不能同时分析几种苏丹红染料,从而限制了其在生产实际中的应用。

蜀ICP备15013208号-3