氨基酸疏水性分析
生物学家劳伦斯·赫斯特和斯蒂芬·弗里兰在20世纪90年代末把天然基因密码和计算机随机产生的几百万组密码拿去比对,结果轰动一时。他们想知道,如果发生点突变这种把一个字母换掉的变异,哪一套密码系统能保留最多正确的氨基酸,或将它代换成另一个性质相似的氨基酸。
结果他们发现,天然的基因密码最经得起突变的考验。点突变常常不会影响氨基酸序列,而如果突变真的改变了氨基酸,也会由另一个物理特性相似的氨基酸来取代。据此,赫斯特与弗里兰宣称,天然的遗传密码比成千上万套随机产生的密码要优良得多。它不但不是大自然密码学家愚蠢而盲目的作品,而是万里挑一的密码系统。
天然的三联基因密码的第一个字母都有特定的对应方式。举例来说,所有以丙酮酸为前体合成的氨基酸,它们密码的第一个字母都是T。所有由α-酮戊二酸所合成的氨基酸,其三联密码第一个字母都是C;所有由草酰乙酸合成的氨基酸,第一个字母都是A;最后,几种简单前体通过单一步骤所合成的氨基酸,第一个字母都是G。
三联密码的第二个字母和氨基酸是否容易溶于水有关,或者说和氨基酸的疏水性有关。亲水性氨基酸会溶于水,疏水性氨基酸不会溶于水,但会溶在脂肪或油里,比如溶在含有脂质的细胞膜里。所有的氨基酸,可以从“非常疏水”到“非常亲水”排列成一张图谱,而正是这张图谱决定了氨基酸与第二个密码字母之间的关系。疏水性最强的六个氨基酸里有五个,第二个字母都是T,所有亲水性最强的氨基酸第二个字母都是A。介于中间的有些是G有些是C。
三联密码的第三个字母不含任何信息,不管接上哪一个字母都没关系,这组密码子都会翻译出一样的氨基酸。以甘氨酸为例,它的密码子是GGG,但是最后一个G可以代换成T、A或C。
第三个字母的随机性暗示了一些有趣的事情。二联密码可以编码16种氨基酸。如果我们从20个氨基酸里拿掉5个结构最复杂的(剩下15个氨基酸,再加上一个终止密码子)这样前两个字母与这15个氨基酸特性之间的关联就更明显了。因此,最原始的密码可能只是二联密码,后来才靠“密码子捕捉”的方式成为三联密码,也就是各氨基酸彼此竞争第三个字母。
第一个字母和氨基酸前体之间的关系直截了当,第二个字母和氨基酸的疏水性相关,第三个字母可以随机选择。这套密码系统除了可以忍受突变,还可以降低灾难发生时造成的损失,同时可以加快进化的脚步。因为如果突变不是灾难性的,那应该会带来更多的好处。
蛋白质模型构建图片
文 / 利刃君
微信ID / ziyuanliren666
全文共2700字,推荐阅读时间7分钟。
本次教程以TRK-A蛋白与其原配体为例绘制蛋白质-小分子结合模式图。TRK-A晶体结构由PDB数据库(https://www.rcsb.org/)检索下载(PDB ID:6PL1),前期我们以Schrodinger软件进行了分子对接,其中:
①小分子配体与氨基酸Glu590、Met592、Asp668形成氢键作用;
②小分子配体与氨基酸Phe589、Phe669形成π-π堆积作用;
③小分子配体与氨基酸Phe669形成阳离子- π作用;
④小分子配体与氨基酸Met592、Tyr591等多个氨基酸形成疏水作用。
本次教程需要使用Pymol(需要center_of_mass.py插件)、Photoshop(PS)/PowerPoint(PPT)这三款软件。先来看一张成品图。
注:center_of_mass.py插件可由文末获取,或者从PyMolWiki网站自行下载。需要Pymol软件及安装教程可翻看利刃君历史消息获取。
-壹-
导入文件
点击File-open…导入本次要处理的6PL1.pdb文件,也可以通过命令行的方法导入文件,利刃君这里通过命令行的方法导入文件,方便同时设置好工作目录。
在命令行输入以下命令(Pymol>表示这是Pymol的命令),输入完成后需要按回车执行命令。
然后点击Display-Sequence显示蛋白质序列及配体信息。此时,软件界面如下图所示。
-贰-
初步修饰
我们可以更改蛋白的显示颜色,单击Viewer界面右侧菜单所示对象6pl1文本右侧的“C”,选择”by element”,选择C为青色的选项,即可更换蛋白条带颜色。(当然也可以更换为其他颜色)。
-叁-
设置操作对象。
为了方便后续操作,我们将配体及与其发生相互作用的关键氨基酸残基设置为不同对象。
首先按照下图顺序,将配体设置为“lig”对象。
随后同样的方法,将氨基酸残基设置为“res”,为了方便操作,我们这里使用命令行操作。主要包括与配体发生相互作用的氨基酸Glu590、Met592、Asp668、Phe589、Phe669和Tyr591等。
输入以下命令“select res,resi 590+592+668+589+669+591”,按下回车确认即完成操作。可以看到右侧窗口出现了lig和res的项目,表示设置配体及氨基酸残基对象完成。
-肆-
隐藏不需要的部分,添加标签。
依次输入以下命令,可根据个人情况进行更改。
单击Viewer界面右侧菜单所示对象res文本右侧的“L”,选择”residues”,即可为氨基酸残基添加标签。
-伍-
绘制蛋白-小分子结合作用力。
由于小分子配体与氨基酸Phe589、Phe669形成π-π堆积作用,因此,我们以Phe589为例绘制π-π堆积作用。
首先我们确保选择(Selecting)模式为Atoms状态(更改方式位于Pymol软件的右下方,鼠标单击Selecting后面的选项即可更改),此时,鼠标单击选择的便不是残基而是单个原子,方便我们创建几何中心球。
依次点击Phe589残基苯环上的六个原子,输入命令“com sale,object=p1”,即可生成名称为p1的质心球对象;同样的方法,我们选中配体上咪唑环上的五个原子,输入命令“comsale,object=p2”,以及Phe669残基苯环上的六个原子,输入命令“comsale,object=p3”,即可生成名称为p2和p3的质心球对象。
随后,我们对小球的显示样式进行更改,输入以下命令。
所有的质心球创建完成后,开始绘制分子间作用力。点击Pymol菜单中的Wizard-Measurement,然后点击需要连接的小球/原子,两两一组,便可画出虚线,该虚线同样作为对象(如measure01)可以在右侧菜单中调整参数,同样的办法绘制氢键作用和阳离子- π作用,连接完成后点击右侧菜单的“done”即可退出连接模式。
-陆-
调整图像。
为了使图片达到出版要求,我们需要对图像进行进一步修饰。首先对作用力虚线进行修饰,然后显示蛋白图。按以下命令进行操作。
我们还可以点击Pymol软件上方的菜单栏Setting-Cartoon,然后确保RoundHelices、FancyHelices、FlatSheets和FancySheets四个选项中打勾,对蛋白Cartoon图像进一步微调。
此外,我们可以移动label的位置。首先设置Mouse Mode为Editing模式,按住Ctrl键,用鼠标左键或右键拖动label。最后得到下图。
最后,为了得到更高品质的图像,可以在空白处点击鼠标右键,选择Ray即可进行图片光线渲染。另外,Pymol中的字体标注不是很好看,因此我们需要后期导入PS或者PPT里进一步处理,这时,为了方便标注,我们可以存一张带标签的和一张不带标签的图像,方便后期修改。
这时,我们可以输入命令“hide labels”和“show labels”来隐藏/显示标签。同样的方法可通过命令“show cartoon”和“hide cartoon”来显示/隐藏蛋白条带。可以通过按住鼠标右键拖动的方法来调节视角大小,通过按住鼠标左键拖动的方法转动视角。以此来获得更好的图像。
通过输入以下命令来导出图像。
下图中为导出的带标签的图像(左)和不带标签的图像(右),待所有需要的图像均保存完成后,再进行后期处理。
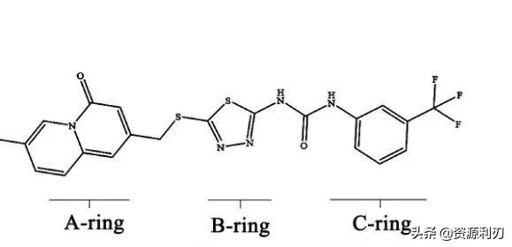
另外,由于这里小分子较大,一张图会显得很杂,利刃君这里将小分子分为3个片段:A-ring、B-ring和C-ring三个片段,来使蛋白-小分子的结合方式展示的更加清晰。
随后,熟悉PS的可以将图片导入到PS中进行图像拼合和文字添加以及排版,不熟悉PS的也可以用PPT进行处理。(PS方便我们进行图像大小设置,以达到杂志社的要求)这样就完成了最后的图片啦~
注:由于时间关系,本次教程中疏水作用未进行绘制,大家可以以文中同样的方法进行添加。
资源获取方式:
1.点击头像,添加关注;
2.点击头像,私信关键词:035(注意关键词不要多字少字,否则后台无法识别)
就可获取 Pymol软件的center_of_mass.py插件(附带安装教程)啦~
科研论文作图|零基础用Pymol绘制蛋白质-小分子结合模式图,蛋白质模型构建图片
《原清华大学生物学教授颜宁在科学技术实验上的探索与创新》
1996年-2000年清华大学生物科学与技术系学士;
2000年-2004年美国普林斯顿大学分子生物学系,博士,导师为结构生物学家、清华大学教授、中国科学院院士、欧洲分子生物学学会外籍会士、美国国家科学院外籍院士、美国人文与科学院外籍院士施一公;
2005年-2007年 美国普林斯顿大学分子生物学系从事博士后研究;
2007年-至今清华大学教授、博士生导师;
2017年5月7日从清华大学证实,颜宁已接受美国普林斯顿大学邀请,受聘该校分子生物学系雪莉·蒂尔曼终身讲席教授的职位。
研究方向
人类基因组中编码蛋白的所有基因约有30%编码膜蛋白。
膜蛋白在一切生命过程中起着关键作用,具有重要的生理功能。FDA批准上市的药物中,约50%的作用靶点为膜蛋白。
因此,对膜蛋白结构与功能的研究具有极高的生物学意义及医药应用前景。
转运蛋白(transport proteins)是膜蛋白的一大类,介导生物膜内外的化学物质以及信号交换。脂质双分子层在细胞或细胞器周围形成了一道疏水屏障, 将其与周围环境隔绝起来。
尽管有一些小分子可以直接渗透通过膜,但是大部分的亲水性化合物,如糖,氨基酸,离子,药物等等,都需要特异的转运蛋白的帮助来通过疏水屏障。
因此,转运蛋白在营养物质摄取,代谢产物释放以及信号转导等广泛的细胞活动中起着重要的作用。
大量疾病都与膜转运蛋白功能失常有关,转运蛋白是诸如抗抑郁剂,抗酸剂等大量药物的直接靶点。
研究主要集中在次级主动运输蛋白的工作机理上。
交替通路模型,被用来解释转运蛋白的工作机理,在这个模型中,转运蛋白至少采取两种构象来进行底物的装载及卸载:
一种向膜外开放,一种向膜内开放。有许多结构和生物物理学证据支持这个模型。
但是,仍有两个最有趣的基本问题没有解决。
第一,主动运输的能量偶联机制是什么?
第二,在转运过程中,是什么因素触发了转运蛋白的构象变化?使用基于结构的研究手段对次级主动运输蛋白进行研究,以期解决转运蛋白工作机理中的基本问题。
主要成就
2014年,颜宁率领的团队在世界上首次解析了人源葡萄糖转运蛋白GLUT1的三维晶体结构。
2015年进一步获得了具备更多构象的GLUT3结合底物和抑制剂的超高分辨率结构,从而清晰揭示了葡萄糖跨膜转运这一基本细胞过程的分子基础。
此外,她还对离子通道结构生物学领域做出重要贡献,解析了电压门控钠离子通道的晶体结构,最近又利用最新冷冻电镜技术获得了最大钙离子通道RyR1的高分辨率结构。
2015年进一步获得了具备更多构象的GLUT3结合底物和抑制剂的超高分辨率结构,从而清晰揭示了葡萄糖跨膜转运这一基本细胞过程的分子基础。
2016年9月-Science-关闭及开放构象的RyR2
2016年9月,颜宁教授研究组与加拿大卡尔加里大学陈穗荣研究组合作在《Science》(DOI:10.1126/science.aah5324)发表研究长文,揭示了已知分子量最大的离子通道Ryanodine受体RyR2亚型处于关闭和开放两种状态的三维电镜结构,探讨了RyR2的门控机制。
通过比较关闭和开放状态的两个结构,发现位于穿膜区域负责通透离子的通道有明显的变化:
在开放构象中,该通道发生扩张,从而使得钙离子能够顺利地从肌质网内部转移到细胞质中。通过对RyR2中每个相对独立的结构域的仔细比较和分析,认为中心结构域极有可能是引发RyR开放的关键,这一发现与之前有关RyR的功能研究结论相吻合。
另外,研究组还获得了分辨率为5.7埃的RyR1开放构象结构,并基于结构比对,初步分析了RyR1的门控机理,有关RyR1的成果已分别发表在《Nature》(Doi:10.1038/nature14063)和《Cell Research》(Doi:10.1038/cr.2016.89)上,有关Cav1.1的论文已分别发表于《Science》(DOI: 10.1126/science.aad2395)和《Nature》(Doi:10.1038/nature19321)杂志上。上述研究与最新的这篇研究论文极大地促进了人们对于兴奋-收缩偶联的理解。
2017年2月,真核生物电压门控钠离子通道的拓扑图和三维电镜结构
2017年2月,颜宁教授研究组在《科学》(Science, DOI: 10.1126/science.aal4326)在线发表了题为“Structure of a eukaryotic voltage-gated sodium channel at near atomic resolution”的研究长文,在世界上首次报道了真核生物电压门控钠离子通道。